Aktuelle Fachinformationen, Arbeitshilfen, interaktive Tools
» Mehr Infos zum Portal Arbeitssicherheit Profi
Themen
- Grundlagen des Arbeitnehmerschutzes
- Gefahrenverhütung
- Information, Unterweisung, Beteiligung
- Behörden und Verfahren
-
Arbeitsstätten
- Grundsätzliche Fragen und Begriffe
- Ausstattung der Gebäude
- Verkehrswege und Fluchtwege
- Arbeitsräume
- Telearbeitsgesetz (TelearbG)
- Brandschutz und Explosionsschutz
- Sicherung von Gefahrenbereichen
- Lagerungen
- Nichtraucherschutz
- Behindertengerechte Gestaltung
- Instandhaltung, Reinigung, Prüfung
- Information der ArbeitnehmerInnen
-
Arbeitsmittel
- Benutzung von Arbeitsmitteln
- Beschaffenheit von Arbeitsmitteln
- Arbeitgeberpflichten, Arbeitnehmerpflichten
- Schutzmaßnahmen
- Sicherheitskommunikation
- MSV und AM-VO
- Die neue Maschinenprodukteverordnung
- Vorschriften für das Inverkehrbringen von Arbeitsmitteln
- Digitalisierung und Arbeitnehmerschutz
- Aufzüge und Hebeanlagen
- Neue Technologien – Digitalisierung in der Maschinensicherheit
- Betriebsanleitung und Arbeitnehmerschutz
- Arbeitsstoffe
-
Arbeitsvorgänge und Arbeitsplätze
- Kennzeichnungsverordnung (KennV)
- Arbeitsplätze und Arbeitsvorgänge
- Körperliche Belastungen im Arbeitnehmerschutz
- Fachkenntnisse und besondere Aufsicht
- Physikalische Einwirkungen
- Elektrosicherheit im Arbeitnehmerschutz
- Bildschirmarbeit
- Persönliche Schutzausrüstung
- Elektrische Anlagen
- Sicherheit in Lager und Logistik
- Unfall- und Gesundheitsgefahren bei Reinigungsarbeiten
- Gastgewerbe
- Sprengarbeiten
- Bohrarbeiten
- Tagbauarbeiten
- Ladungssicherung
- Feuer- und Heißarbeiten
- Untertagebauarbeiten
- Strahlenschutz am Arbeitsplatz
- Absturzsicherung bei der Errichtung von Photovoltaikanlagen
- Gesundheitsüberwachung
- Präventivdienste
- Brandschutz
-
Bauarbeiten
- Baustellenorganisation, Evaluierung und Umsetzung auf der Baustelle
- Bauarbeitenkoordinationsgesetz – BauKG
- Absturz
- Bauarbeiten und Baustelleneinrichtung
- Erd- und Felsarbeiten
- Gerüste
- Dacharbeiten und Montagearbeiten
- Abbrucharbeiten
- Wasserbauarbeiten – 14. Abschnitt BauV
- Flüssiggas auf Baustellen
-
Themen des Arbeitsschutzes
- Unterweisungen
- Arbeitspsychologie und ihre Anwendung in der betrieblichen Praxis
- Arbeitnehmerschutz im Verkehrswesen
- Grundlagen zur Evaluierung psychischer Belastung
- Organisation des Arbeitnehmerschutzes im Betrieb
- Virtual Reality in der Arbeitssicherheit
- Gesunde Raumluft
- Psychische Erkrankungen
- Gesundheit im Betrieb
- Sicherheits- und Gesundheitsmanagement
- Gender und Diversity im Sicherheits- und Gesundheitsschutz am Arbeitsplatz
- Betriebliches Übergangsmanagement
- Wirksam kommunizieren im Arbeitsschutz
- Materialien
Kategorien
-
Vorschriften
-
Muster
-
Tools
WEKA (msc) | News | 23.09.2013
Standsicherheit von Stapelbehältern richtig berechnen
Lagereinrichtungen und -geräte müssen hinsichtlich ihres Kippens eine zweifache Sicherheit (Standsicherheitsfaktor) aufweisen. Stapelbehälter können deshalb nicht beliebig übereinander aufgestapelt werden. Die zulässige Höhe ergibt sich rechnerisch.

Großvolumen-Stapelbehälter: Technische Daten
- Länge: l = 1200 mm
- Breite: b = 800 mm
- Stapelhöhe: hi = 600 mm
- Nutzlast: Q = 1000 kg
- Auflast: A = 5000 kg
- Eigengewicht: Qg = 38 kg
Berechnung: Stapelung von 4 beladenen Stapelbehältern
1. Lasten
Gesamtlast je Stapelbehälter:


Kraft aus Gesamtlast je Stapelbehälter:


2. Standmoment
Standmoment MSt der gesamten Stapelung in Bezug auf die Kippkante:
<img src="/storage/images/_aliases/gross/media/bilder/codecogseqn-32/9202027-1-ger-DE/CodeCogsEqn-3.gif" alt="CodeCogsEqn(3)" title="CodeCogsEqn(3)" />
<img src="/storage/images/_aliases/gross/media/bilder/codecogseqn-4/9202031-1-ger-DE/CodeCogsEqn-4.gif" alt="CodeCogsEqn(4)" title="CodeCogsEqn(4)" />
Die Kippkante ergibt sich aus b < l.
3. Horizontalkräfte
Zur Berücksichtigung der auftretenden Kräfte beim Ein- und Auslagern sind definierte Horizontalkräfte anzunehmen. Für Stapelbehälter sind dies (gemäß Skizze):
- H = 1/50 der Gewichtskraft der Last der Stapeleinheiten an ihren jeweiligen Aufstandsflächen
- HZ = 150 N als Einzelkraft in Höhe der obersten Aufstandsfläche



4. Kippmoment
Kippmoment MK der gesamten Stapelung mit den Horizontalkräften HZ und H:


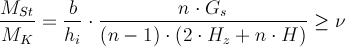
5. Standsicherheit
Standsicherheit gegen Kippen:

mit ν = 2 (Standsicherheitsfaktor)

Die Sicherheit gegen Kippen ist bei einer Stapelung von 4 vollbeladenen Stapelbehältern gewährleistet. Zu überprüfen ist dies aber auch hinsichtlich der zulässigen Auflast der Stapelbehälter, A = 5000 kg.
Berechnung: Stapelung von 4 leeren Stapelbehältern
1. Lasten
Gesamtlast je Stapelbehälter:


Kraft aus Gesamtlast je Stapelbehälter:

2. Standsicherheit gegen Kippen
Standsicherheit gegen Kippen mit den Horizontalkräften HZ und H:


Die Sicherheit gegen Kippen wird gerade noch eingehalten, eine Stapelung von 4 leeren Stapelbehältern ist in diesem Fall zulässig.
Berechnung: Stapelung von 5 leeren Stapelbehältern
1. Standsicherheit gegen Kippen
Standsicherheit gegen Kippen mit den bekannten Horizontalkräften HZ und H (vgl Berechnung von 4 leeren Stapelbehältern)

Eine Stapelung von 5 leeren Stapelbehältern ist nicht mehr zulässig. Die Berechnung zeigt auch: Die Stapelung von leeren bzw leichten Lagergeräten oder Stapeleinheiten ist gefährlicher und unsicherer als die von beladenen oder schweren Stapeleinheiten.
Quelle:
BGR 234