Über 500 Fachinfos zu Brandvorbeugung und Brandabwehr, 100 Mustervorlagen, interaktive Tools
» Mehr Infos zum Portal Brandschutz
CLP-Verordnung
Teil 2
PHYSIKALISCHE GEFAHREN
2. | TEIL 2: PHYSIKALISCHE GEFAHREN |
2.1. | Explosive Stoffe/Gemische und Erzeugnisse mit Explosivstoff |
2.1.1. | Begriffsbestimmungen |
2.1.1.1. | Zur Klasse der explosiven Stoffe/Gemische und Erzeugnisse mit Explosivstoff gehören
|
2.1.1.2. | Für die Zwecke dieser Verordnung gelten folgende Begriffsbestimmungen:
|
2.1.2. | Einstufungskriterien |
2.1.2.1. | Für die Einstufung der Stoffe, Gemische und Erzeugnisse dieser Klasse als instabile explosive Stoffe ist das Ablaufschema in Abbildung 2.1.2 maßgeblich. Die Prüfverfahren werden in Teil I des Handbuchs über Prüfungen und Kriterien der UN RTGD (UN-Empfehlungen für die Beförderung gefährlicher Güter) beschrieben. (ABl. L 149/2013) |
2.1.2.2. | Stoffe, Gemische und Erzeugnisse dieser Klasse, die nicht als instabile explosive Stoffe eingestuft werden, sind je nachdem, welche Art von Gefahr sie darstellen, einer der folgenden sechs Unterklassen zuzuordnen:
|
2.1.2.3. | Explosive Stoffe/Gemische und Erzeugnisse mit Explosivstoff, die nicht als instabil eingestuft sind, sind anhand der Ergebnisse der Prüfungen nach Tabelle 2.1.1 in eine der sechs in Absatz 2.1.2.2 des vorliegenden Anhangs genannten Unterklassen einzustufen, die auf den UN RTDG, Handbuch über Prüfungen und Kriterien, Teil I Prüfserien 2 bis 8, beruhen: (ABl. L 149/2013) |
Tabelle 2.1.1
Kriterien für explosive Stoffe/Gemische und Erzeugnisse mit Explosivstoff
Kategorie | Kriterien |
Bei explosiven Stoffen/Gemischen und Erzeugnissen mit beabsichtitgter Explosionswirkung oder pyrotechnischer Wirkung der Unterklassen 1.1 bis 1.6 sind folgende Prüfserien durchzuführen: | |
Explosionsfähigkeit: Prüfungen nach der UN-Prüfserie 2 (Abschnitt 12 der UN RTDG, Handbuch über Prüfungen und Kriterien). Für Explosivzwecke bestimmte Stoffe (1) unterliegen nicht der UN-Prüfserie 2. (ABl. L 149/2013) | |
Empfindlichkeit: Prüfungen nach der UN-Prüfserie 3 (Abschnitt 13 der UN RTDG, Handbuch über Prüfungen und Kriterien). (ABl. L 149/2013) | |
Thermische Stabilität: Prüfungen nach der UN-Prüfserie 3c (Unterabschnitt 13.6.1 der UN RTDG, Handbuch über Prüfungen und Kriterien). (ABl. L 149/2013) | |
Für eine Einordnung in die korrekte Unterklasse sind weitere Prüfungen erforderlich. | |
(1)Dazu gehören Stoffe, Gemische und Erzeugnisse, die hergestellt worden sind, um eine praktische Wirkung durch Explosion oder eine pyrotechnische Wirkung hervorzurufen. | |
2.1.2.4. | Explosive Stoffe/Gemische oder Erzeugnisse mit Explosivstoff, die unverpackt sind oder die in eine andere als die Originalverpackung oder eine dieser ähnelnde Verpackung umgepackt werden, müssen erneut geprüft werden. |
2.1.3. | Gefahrenkommunikation HINWEIS 1: Explosive Stoffe/Gemische oder Erzeugnisse mit Explosivstoff, die unverpackt sind oder die in eine andere als die Originalverpackung oder eine dieser ähnlichen Verpackung umgepackt werden, müssen alle folgenden Kennzeichnungselemente tragen:
Entspricht die Gefahr jedoch nachgewiesenermaßen einer der Gefahrenkategorien von Tabelle 2.1.2, ist das/der entsprechende Symbol, Signalwort und/oder Gefahrenhinweis zuzuordnen. HINWEIS 2: Stoffe und Gemische in ihrer bereitgestellten Form, die ein positives Ergebnis bei Prüfserie 2 in Teil I Abschnitt 12 der UN RTDG, Handbuch über Prüfungen und Kriterien, erzielt haben und die von der Einstufung als explosive Stoffe/Gemische und Erzeugnisse mit Explosivstoff (auf der Grundlage eines negativen Ergebnisses bei Prüfserie 6 in Teil I Abschnitt 16 der UN RTDG, Handbuch über Prüfungen und Kriterien) freigestellt sind, besitzen dennoch explosive Eigenschaften. Der Anwender ist über diese intrinsischen explosiven Eigenschaften zu informieren, da sie bei der Handhabung — vor allem, wenn der Stoff oder das Gemisch aus seiner Verpackung genommen oder umverpackt wird – und bei der Lagerung zu beachten sind. Daher sind die explosiven Eigenschaften des Stoffs oder Gemischs in Abschnitt 2 (Mögliche Gefahren), in Abschnitt 9 (Physikalische und chemische Eigenschaften) des Sicherheitsdatenblatts und – sofern zutreffend – in anderen Abschnitten des Sicherheitsdatenblatts anzugeben. |
Tabelle 2.1.2
Kennzeichnungselemente für explosive Stoffe/Gemische und Erzeugnisse mit Explosivstoff
Ein- | Instabil, | Unter- | Unter- | Unter- | Unter- | Unter- | Unter- |
GHS- | ![]() | ![]() | ![]() | ![]() | ![]() | ||
Signal- | Gefahr | Gefahr | Gefahr | Gefahr | Achtung | Gefahr | Kein |
Gefahren- | H200: | H201: | H202: | H203: | H204: | H205: | Kein |
Sicher- | P201 | P210 | P210 | P210 | P210 | P210 | Kein |
Sicher- | P370 + P372 + | P370 + P372 + | P370 + P372 + | P370 + P372 + | P370 + P372 + | P370 + P372 + | Kein |
Sicher- | P401 | P401 | P401 | P401 | P401 | P401 | Kein |
Sicher- | P501 | P501 | P501 | P501 | P501 | P501 | Kein |
(ABl. L 156/2016) | |||||||
2.1.4. | Zusätzliche Hinweise für die Einstufung |
2.1.4.1. | Die Einstufung von Stoffen, Gemischen und Erzeugnissen in die Gefahrenklasse der explosiven Stoffe/Gemische und Erzeugnisse mit Explosivstoff und die anschließende Einordnung in einer Unterklasse ist ein sehr komplexes Verfahren in drei Schritten. Dabei ist auf Teil I der UN-Empfehlungen für die Beförderung gefährlicher Güter, Handbuch über Prüfungen und Kriterien, Bezug zu nehmen. Als erstes muss festgestellt werden, ob der Stoff oder das Gemisch explosive Wirkungen hat (Prüfserie 1). Danach erfolgt das Aufnahmeverfahren (Prüfserien 2 bis 4) und als dritter Schritt die Einordnung in eine Gefahrenunterklasse (Prüfserien 5 bis 7). Die Beurteilung, ob ein Stoff oder Gemisch, der/das für eine Einstufung als „Ammoniumnitratemulsion, -suspension oder -gel, Zwischenprodukt für die Herstellung von Sprengstoffen, (ANE)“ in Betracht kommt, hinreichend unempfindlich ist, um als oxidierende Flüssigkeit (Abschnitt 2.13) oder als oxidierender Feststoff (Abschnitt 2.14) eingeordnet zu werden, erfolgt auf der Grundlage von Prüfungen im Rahmen der Prüfserie 8. Einige explosive Stoffe und Gemische sind mit Wasser oder Alkohol befeuchtet, mit anderen Stoffen verdünnt oder in Wasser oder anderen Flüssigkeiten gelöst oder suspendiert, um ihre explosiven Eigenschaften zu unterdrücken oder zu verringern. Sie kommen für die Einstufung als desensibilisierte explosive Stoffe/Gemische und Erzeugnisse mit Explosivstoff in Betracht (siehe Kapitel 2.17). (ABl. L 86/2019) Bestimmte physikalische Gefahren (die durch explosive Eigenschaften bedingt sind) werden durch Verdünnung, wie im Fall desensibilisierter explosiver Stoffe/Gemische, durch Hinzufügen zu einem Gemisch oder Erzeugnis, durch Verpackung oder weitere Faktoren beeinflusst. Das Einstufungsverfahren ist gemäß der nachstehenden Entscheidungslogik festgelegt (siehe Abbildungen 2.1.1 bis 2.1.4). |
Abbildung 2.1.1
Fließdiagramm für das gesamte Verfahren zur Einstufung eines Stoffes, Gemisches oder Erzeugnisses in die Gefahrenklasse der explosiven Stoffe/Gemische und Erzeugnisse mit Explosivstoff (Klasse 1 für die Beförderung)

(*) siehe UN RTDG Modellvorschriften, 16. überarb. Ausgabe, Unterabschnitt 2.1.2. (ABl. L 149/2013)
Abbildung 2.1.2
Verfahren zur vorläufigen Aufnahme eines Stoffes, Gemisches oder Erzeugnisses in die Gefahrenklasse der explosiven Stoffe/Gemische und Erzeugnisse mit Explosivstoff (Klasse 1 für die Beförderung)

Abbildung 2.1.3
Verfahren für die Zuordnung zu einer Unterklasse der Klasse explosiver Stoffe/Gemische und Erzeugnisse mit Explosivstoff (Klasse 1 für die Beförderung)

(ABl. L 86/2019)
Abbildung 2.1.4
Verfahren zur Einstufung von Ammoniumnitratemulsionen, -suspensionen oder -gels

(ABl. L 83/2011)
2.1.4.2. | Screeningverfahren Explosive Eigenschaften sind verknüpft mit dem Vorhandensein von bestimmten chemischen Gruppen im Molekül, die bei einer Reaktion einen sehr raschen Temperatur- oder Druckanstieg bewirken können. Zweck des Screeningverfahrens ist es festzustellen, ob derartige reaktive Gruppen und das Potenzial für eine rasche Energiefreisetzung vorhanden sind. Wird anhand des Screeningverfahrens erkannt, dass der Stoff oder das Gemisch möglicherweise explosiv ist, muss das Aufnahmeverfahren (siehe Abschnitt 10.3 der UN-Empfehlungen für die Beförderung gefährlicher Güter, Handbuch über Prüfungen und Kriterien) durchgeführt werden. Hinweis: | |||||||||||||||||||||||
2.1.4.3. | Das Aufnahmeverfahren für die Gefahrenklasse „explosive Stoffe/Gemische und Erzeugnisse mit Explosivstoff“ muss nicht angewendet werden, wenn: (ABl. L 86/2019)
Tabelle 2.1.3 Entscheidung über die Anwendung des Aufnahmeverfahrens für die Gefahrenklasse „explosive Stoffe/Gemische und Erzeugnisse mit Explosivstoff“ auf einen organischen Stoff oder ein homogenes Gemisch organischer Stoffe
| |||||||||||||||||||||||
| Die exotherme Zersetzungsenergie kann mit einem geeigneten kalorimetrischen Verfahren bestimmt werden (siehe Abschnitt 20.3.3.3 der UN RTDG, Handbuch über Prüfungen und Kriterien). (ABl. L 86/2019) | |||||||||||||||||||||||
2.1.4.4. | Bei Gemischen, die irgendeinen bekanntermaßen explosiven Stoff enthalten, ist das Aufnahmeverfahren durchzuführen. | |||||||||||||||||||||||
2.2. | Entzündbare Gase (ABl. L 86/2019) | |||||||||||||||||||||||
2.2.1. | Begriffsbestimmungen (ABl. L 86/2019) | |||||||||||||||||||||||
2.2.1.1. | Entzündbares Gas: Gas oder Gasgemisch, das in Luft bei 20 °C und einem Standarddruck von 101,3 kPa einen Explosionsbereich hat. (ABl. L 86/2019) | |||||||||||||||||||||||
2.2.1.2. | Selbstentzündliches (pyrophores) Gas: ein entzündbares Gas, das dazu neigt, sich in Luft bei einer Temperatur von 54 °C oder weniger spontan zu entzünden. (ABl. L 86/2019) | |||||||||||||||||||||||
2.2.1.3. | Chemisch instabiles Gas: entzündbares Gas, das auch in Abwesenheit von Luft oder Sauerstoff explosionsartig reagieren kann. (ABl. L 86/2019) | |||||||||||||||||||||||
2.2.2. | Einstufungskriterien | |||||||||||||||||||||||
2.2.2.1. | Ein entzündbares Gas wird nach Tabelle 2.2.1. in die Kategorie 1A, 1B oder 2 eingestuft. Entzündbare Gase, die selbstentzündlich (pyrophor) und/oder chemisch instabil sind, werden stets in die Kategorie 1A eingestuft. (ABl. L 86/2019) |
Tabelle 2.1.1
Kriterien für die Kategorisierung entzündbarer Gase
Kategorie | Kriterien | ||||||
1A | Entzündbare Gase | Gase, die bei 20 °C und einem Standarddruck von 101,3 kPa:
außer wenn die Daten zeigen, dass sie die Kriterien der Kategorie 1B erfüllen. | |||||
Selbstentzündliche (pyrophore) Gase | Entzündbare Gase, die sich in Luft bei einer Temperatur von 54 °C oder weniger spontan entzünden. | ||||||
Chemisch instabile Gase | A | Entzündbare Gase, die bei 20 °C und einem Standarddruck von 101,3 kPa chemisch instabil sind. | |||||
B | Entzündbare Gase, die bei einer Temperatur von mehr als 20 °C und/oder einem Druck von mehr als 101,3 kPa chemisch instabil sind. | ||||||
1B | Entzündbare Gase | Gase, die die Entzündbarkeitskriterien der Kategorie 1A erfüllen, jedoch weder selbstentzündlich (pyrophor) noch chemisch instabil sind und die entweder
| |||||
2 | Entzündbare Gase | Gase, die nicht in Kategorie 1A oder 1B und die im Gemisch mit Luft bei 20 °C und einem Standarddruck von 101,3 kPa einen Explosionsbereich haben. | |||||
HINWEIS 1: Aerosole sind nicht als entzündbare Gase einzustufen. Siehe Kapitel 2.3.
HINWEIS 2: Liegen keine Daten vor, die eine Einstufung in Kategorie 1B zulassen, wird ein entzündbares Gas, das die Kriterien der Kategorie 1A erfüllt, grundsätzlich in die Kategorie 1A eingestuft.
HINWEIS 3: Die spontane Entzündung selbstentzündlicher (pyrophorer) Gase erfolgt nicht immer unmittelbar und kann verzögert erfolgen.
HINWEIS 4: Liegen keine Daten zu seinen pyrophoren Eigenschaften vor, wird ein entzündbares Gasgemisch als selbstentzündliches (pyrophores) Gas eingestuft, wenn es einen Volumenanteil von mehr als 1 % pyrophore Bestandteile enthält.
(ABl. L 86/2019)
2.2.3. | Gefahrenkommunikation |
| Bei Stoffen und Gemischen, die die Kriterien für die Einstufung in diese Gefahrenklasse erfüllen, sind die Kennzeichnungselemente gemäß Tabelle 2.2.3 zu verwenden. |
Tabelle 2.2.3
Kennzeichnungselemente für entzündbare Gase
Kategorie 1A | Gase, die in die Kategorie 1A eingestuft werden, weil sie die Kriterien für selbstentzündliche (pyrophore) oder instabile Gase der Kategorie A/B erfüllen | Kategorie 1B | Kategorie 2 | |||
| Selbstentzündliches (pyrophores) Gas | Chemisch instabiles Gas |
|
| ||
Kategorie A | Kategorie B | |||||
GHS-Piktogramm | ![]() | ![]() | ![]() | ![]() | ![]() | Kein Piktogramm |
Signalwort | Gefahr | Gefahr | Gefahr | Gefahr | Gefahr | Achtung |
Gefahrenhinweis | H220: Extrem entzündbares Gas | H220: Extrem entzündbares Gas H232: Kann sich bei Kontakt mit Luft spontan entzünden | H220: Extrem entzündbares Gas H230: Kann auch in Abwesenheit von Luft explosionsartig reagieren | H220: Extrem entzündbares Gas H231: Kann auch in Abwesenheit von Luft bei erhöhtem Druck und/oder erhöhter Temperatur explosionsartig reagieren | H221: Entzündbares Gas | H221: Entzündbares Gas |
Sicherheitshinweise – Prävention | P210 | P210 P222 P280 | P202 P210 | P202 P210 | P210 | P210 |
Sicherheitshinweise – Reaktion | P377 P381 | P377 P381 | P377 P381 | P377 P381 | P377 P381 | P377 P381 |
Sicherheitshinweise – Lagerung | P403 | P403 | P403 | P403 | P403 | P403 |
Sicherheitshinweise – Entsorgung |
|
|
|
|
|
|
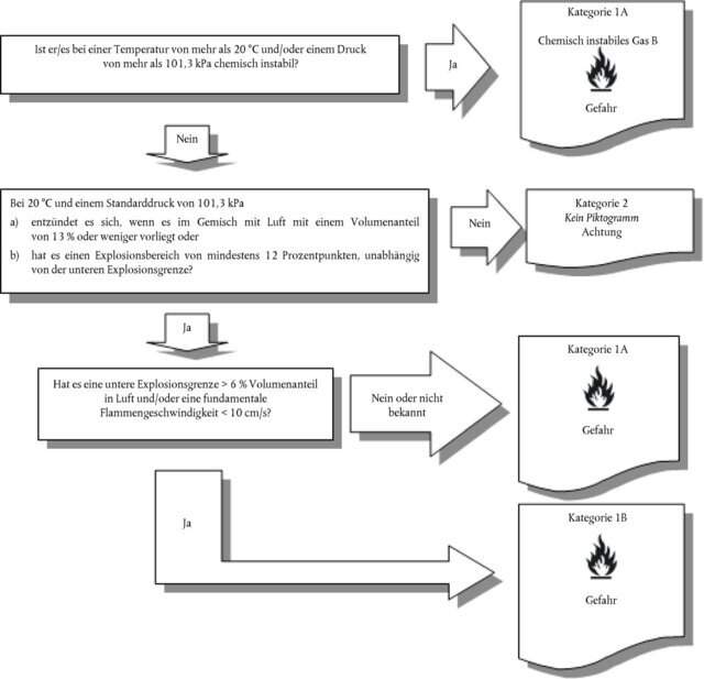
Das Einstufungsverfahren ist gemäß der nachstehenden Entscheidungslogik festgelegt (siehe Abbildung 2.2.1).
(ABl. L 86/2019)
Abbildung 2.2.1
Entzündbare Gase

(1) Liegen keine Daten zur Selbstentzündung vor, wird ein entzündbares Gasgemisch als selbstentzündliches (pyrophores) Gas eingestuft, wenn es einen Volumenanteil von mehr als 1 % pyrophore Bestandteile enthält.
(ABl. L 86/2019)

Ist ein entzündbares Gas oder Gasgemisch als selbstentzündlich (pyrophor) und/oder chemisch instabil eingestuft, sind alle relevanten Einstufungen gemäß Anhang II der Verordnung (EG) Nr. 1907/2006 auf dem Sicherheitsdatenblatt und die einschlägigen Elemente der Gefahrenkommunikation auf dem Kennzeichnungsetikett anzugeben.
(ABl. L 86/2019)
2.2.4. | Zusätzliche Hinweise für die Einstufung |
2.2.4.1. | Die Entzündbarkeit ist durch Prüfungen zu bestimmen oder, sofern bei Gemischen genügend Daten vorliegen, durch Berechnung nach den von der ISO verabschiedeten Verfahren (vgl. ISO 10156 in der aktuellen Ausgabe, „Gasflaschen – Gase und Gasgemische – Bestimmung der Brennbarkeit und des Oxidationsvermögens zur Auswahl von Ventilausgängen“ („Gas cylinders – Gases and gas mixtures – Determination of fire potential and oxidising ability for the selection of cylinder valve outlets“) und, falls die fundamentale Flammengeschwindigkeit der Kategorie 1B verwendet wird, ISO 817 in der aktuellen Ausgabe „Kältemittel – Kurzzeichen und Sicherheitsklassifikation“, Anhang C: „Prüfverfahren für die Messung der Flammengeschwindigkeit von entzündbaren Gasen“ („Refrigerants — Designation and safety classification, Annex C: Method of test for burning velocity measurement of flammable gases“). Anstelle der Prüfvorrichtung nach ISO 10156 in der aktuellen Ausgabe kann die Prüfvorrichtung für das Rohrverfahren gemäß Abschnitt 4.2 der Norm DIN EN 1839 in der geänderten Fassung („Bestimmung der Explosionsgrenzen von Gasen und Dämpfen“) verwendet werden. (ABl. L 86/2019) |
2.2.4.2. | Die pyrophoren Eigenschaften sind bei 54 °C gemäß der Norm ISO/IEC 60079-20-1 ed1.0 (2010-01) „Explosionsfähige Atmosphären – Teil 20-1: Stoffliche Eigenschaften zur Klassifizierung von Gasen und Dämpfen – Prüfmethoden und Daten“ („Explosive atmospheres – Part 20-1: Material characteristics for gas and vapour classification – Test methods and data“) oder der Norm DIN 51794 „Prüfung von Mineralölkohlenwasserstoffen – Bestimmung der Zündtemperatur“ zu bestimmen. (ABl. L 86/2019) |
2.2.4.3. | Das Einstufungsverfahren für selbstentzündliche (pyrophore) Gase muss nicht angewendet werden, wenn die Erfahrung bei der Herstellung oder Handhabung zeigt, dass sich der Stoff in Kontakt mit Luft bei einer Temperatur von 54 °C oder weniger nicht spontan entzündet. Entzündbare Gasgemische, die nicht auf pyrophore Eigenschaften geprüft wurden und mehr als ein Prozent pyrophore Bestandteile enthalten, sind als selbstentzündliche (pyrophore) Gase einzustufen. Bei der Bewertung der Notwendigkeit einer Einstufung entzündbarer Gasgemische mit 1 % oder weniger pyrophoren Bestandteilen wird auf eine Beurteilung durch Experten zu den Eigenschaften und physikalischen Gefahren selbstentzündlicher (pyrophorer) Gase und ihrer Gemische zurückgegriffen. In diesem Fall ist die Prüfung nur dann in Betracht zu ziehen, wenn die Beurteilung durch Experten darauf hindeutet, dass zusätzliche Daten zur Unterstützung des Einstufungsverfahrens benötigt werden. (ABl. L 86/2019) |
2.2.4.4 | Chemische Instabilität ist gemäß der in Teil III der UN RTDG, Handbuch über Prüfungen und Kriterien, beschriebenen Methode zu bestimmen. Wenn die Berechnungen gemäß der aktuellen Ausgabe der ISO 10156 zeigen, dass ein Gasgemisch nicht entzündbar ist, ist die Durchführung der Prüfungen zur Ermittlung der chemischen Instabilität für Einstufungszwecke nicht erforderlich. (ABl. L 86/2019) |
2.3. | Aerosole (ABl. L 149/2013) |
2.3.1. | Begriffsbestimmungen: |
2.3.2. | Einstufungskriterien |
2.3.2.1. | Aerosole sind je nach ihren entzündbaren Eigenschaften und ihrer Verbrennungswärme in eine der drei Kategorien dieser Gefahrenklasse einzustufen. Sie sind im Hinblick auf eine Einstufung in Kategorie 1 oder 2 zu prüfen, falls sie mehr als 1 % (Massenprozent) Bestandteile enthalten, die anhand der in diesem Teil enthaltenen Kriterien wie folgt als entzündbar eingestuft sind:
oder wenn ihre Verbrennungswärme mindestens 20 kJ/g beträgt. Hinweis 1: Hinweis 2: (ABl. L 156/2016) |
2.3.2.2. | Ein Aerosol ist in eine der drei Kategorien dieser Klasse einzustufen, und zwar anhand seiner Bestandteile, seiner chemischen Verbrennungswärme und gegebenenfalls anhand der Ergebnisse des Schaumtests (bei Schaumaerosolen) sowie des Flammstrahl- und des Fasstests (bei Sprühaerosolen) gemäß Abbildung 2.3.1 Buchstaben a bis c dieses Anhangs und Teil III Abschnitte 31.4, 31.5 und 31.6 der UN RTDG, Handbuch über Prüfungen und Kriterien. Aerosole, die den Kriterien für Kategorie 1 oder Kategorie 2 nicht entsprechen, sind in Kategorie 3 einzustufen. Hinweis: |
Abbildung 2.3.1 a)
Aerosole
(ABl. L 156/2016)
Für Sprüaerosole siehe Entscheidungslogik 2.3.1 (b)
Für Schaumaerosole siehe Entscheidungslogik 2.3.1 (c)
Abbildung 2.3.1 (b)
Sprühaerosole

Abbildung 2.3.1 (c)
Schaumaerosole

2.3.3. | Gefahrenkommunikation |
| Bei Stoffen oder Gemischen, die die Kriterien für die Einstufung in diese Gefahrenklasse erfüllen, sind die Kennzeichnungselemente gemäß Tabelle 2.3.1 zu verwenden. |
Tabelle 2.3.1
Kennzeichnungselemente für Aerosole
(ABl. L 156/2016)
Einstufung | Kategorie 1 | Kategorie 2 | Kategorie 3 |
GHS-Piktogramm | ![]() | ![]() | Kein Piktogramm |
Signalwort | Gefahr | Achtung | Achtung |
Gefahrenhinweis | H222: | 223: | H229: |
Sicherheitshinweise – | P210 | P210 | P210 |
P211 | P211 | P251 | |
P251 | P251 | ||
Sicherheitshinweise – | |||
Sicherheitshinweise – | P410 + P412 | P410 + P412 | P410 + P412 |
Sicherheitshinweise – |
|
|
|
2.3.4. | Zusätzliche Hinweise für die Einstufung |
2.3.4.1. | Die chemische Verbrennungswärme (ΔHc) in Kilojoule pro Gramm (kJ/g) ist das Produkt der theoretischen Verbrennungswärme (ΔHcomb) und der Verbrennungseffizienz, die gewöhnlich unter 1,0 liegt (eine typische Verbrennungseffizienz ist 0,95 oder 95 %). Bei einer zusammengesetzten Aerosolformulierung entspricht die chemische Verbrennungswärme der Summe der gewichteten Verbrennungswärmen ihrer Einzelbestandteile: ![]() wobei gilt: ΔHc= chemische Verbrennungswärme (kJ/g) ΔHc(i) = spezifische Verbrennungswärme (kJ/g) von Bestandteil i des Produkts |
2.4. | Oxidierende Gase |
2.4.1. | Begriffsbestimmung: |
2.4.2. | Einstufungskriterien |
2.4.2.1. | Ein oxidierendes Gas ist nach Tabelle 2.4.1 in die einzige Kategorie dieser Klasse einzustufen. |
Tabelle 2.4.1
Kriterien für oxidierende Gase
Kategorie | Kriterien |
1 | Alle Gase, die im Allgemeinen durch Lieferung von Sauerstoff die Verbrennung anderer Materialien eher verursachen oder begünstigen können als Luft. |
Hinweis:
Gase, die die Verbrennung anderer Materialien eher verursachen oder begünstigen als Luft„: reine Gase oder Gasgemische mit einer Oxidationskraft von mehr als 23,5 %, wie mithilfe einer in ISO 10156 (aktuelle Ausgabe) festgelegten Methode bestimmt. (ABl. L 149/2013)
2.4.3. | Gefahrenkommunikation |
Tabelle 2.4.2
Kennzeichnungselemente für oxidierende Gase
Einstufung | Kategorie 1 |
GHS-Piktogramm | ![]() |
Signalwort | Gefahr |
Gefahrenhinweis | H270: Kann Brand verursachen oder verstärken; Oxidationsmittel |
Sicherheitshinweise – Prävention | P220 |
P244 | |
Sicherheitshinweise – Reaktion | P370 + P376 |
Sicherheitshinweise – Lagerung | P403 |
Sicherheitshinweise – Entsorgung |
2.4.4. | Zusätzliche Hinweise für die Einstufung |
2.5. | Gase unter Druck |
2.5.1. | Begriffsbestimmung |
2.5.1.1. | Gase unter Druck: Gase, die in einem Behältnis unter einem Druck von 200 kPa (Überdruck) oder mehr bei 20 °C enthalten sind oder die verflüssigt oder verflüssigt und tiefgekühlt sind. |
2.5.1.2. | Die kritische Temperatur ist die Temperatur, oberhalb derer ein reines Gas sich unabhängig vom Druck nicht mehr verflüssigen lässt. |
2.5.2. | Einstufungskriterien |
2.5.2.1. | Gase unter Druck sind, je nach ihrem Aggregatzustand in verpacktem Zustand, anhand der Tabelle 2.5.1 in eine von vier Gruppen einzustufen. |
Tabelle 2.5.1
Kriterien für Gase unter Druck
Gruppe | Kriterien |
verdichtetes | Ein Gas, das in verpacktem Zustand unter Druck bei 50 °C vollständig gasförmig ist, einschließlich aller Gase mit einer kritischen Temperatur ≤ –50 °C. |
verflüssigtes | Ein Gas, das in verpacktem Zustand unter Druck bei Temperaturen über – 50 °C teilweise flüssig ist. Es wird unterschieden zwischen:
|
Tiefgekühlt | Ein Gas, das in verpacktem Zustand aufgrund seiner niedrigen Temperatur teilweise verflüssigt wird. |
Gelöstes | Ein Gas, das in verpacktem Zustand unter Druck in einem flüssigen Lösemittel gelöst wird. |
Hinweis:
Aerosole sind nicht als Gase unter Druck einzustufen; Siehe Kapitel 2.3. (ABl. L 149/2013)
2.5.3. | Gefahrenkommunikation |
Tabelle 2.5.2
Kennzeichnungselemente für Gase unter Druck
Einstufung | verdichtetes Gas | verflüssigtes Gas | tiefgekühlt | gelöstes Gas |
GHS-Piktogramm | ![]() | ![]() | ![]() | ![]() |
Signal- | Achtung | Achtung | Achtung | Achtung |
Gefahren- | H280: | H280: | H281: | H280: |
Sicherheitshinweise – | P282 | |||
Sicherheitshinweise – | P336 + P315 | |||
P315 | ||||
Sicherheitshinweise – | P410 + P403 | P410 + P403 | P403 | P410 + P403 |
Sicherheitshinweise – |
(ABl. L 156/2016)
Hinweis:
Das Piktogramm GHS04 ist für Gase unter Druck nicht vorgeschrieben, sofern das Piktogramm GHS02 oder das Piktogramm GHS06 abgebildet ist.
(ABl. L 83/2011)
2.5.4. | Zusätzliche Hinweise für die Einstufung
Die Daten können der Literatur entnommen, berechnet oder durch Prüfung ermittelt werden. Der Großteil der reinen Gase ist bereits in den UN RTDG, Modellvorschriften, eingestuft. (ABl. L 149/2013) |
2.6. | Entzündbare Flüssigkeiten |
2.6.1. | Begriffsbestimmung |
2.6.2. | Einstufungskriterien |
2.6.2.1. | Eine entzündbare Flüssigkeit ist nach Tabelle 2.6.1 in eine der drei Kategorien dieser Klasse einzustufen. |
Tabelle 2.6.1
Kriterien für entzündbare Flüssigkeiten
Kategorie | Kriterien |
1 | Flammpunkt < 23° C und Siedebeginn ≤ 35° C |
2 | Flammpunkt < 23° C und Siedebeginn > 35° C |
3 | Flammpunkt ≥ 23° C und ≤ 60° C (1) |
(1)Für die Zwecke dieser Verordnung können Gasöle, Diesel und leichte Heizöle, die einen Flammpunkt zwischen 55° C und 75° C haben, als zur Kategorie 3 gehörend gelten.
Hinweis:
Aerosole dürfen nicht als entzündbare Flüssigkeiten eingestuft werden; siehe Kapitel 2.3. (ABl. L 83/2011)
2.6.3. | Gefahrenkommunikation |
Tabelle 2.6.2
Kennzeichnungselemente für entzündbare Flüssigkeiten
Einstufung | Kategorie | Kategorie | Kategorie |
GHS- | ![]() | ![]() | ![]() |
Signalwort | Gefahr | Gefahr | Achtung |
Gefahren- | H224: | H225: | H226:Flüssigkeit und |
Sicherheitshinweise – | P210 | P210 | P210 |
P233 | P233 | P233 | |
P240 | P240 | P240 | |
P241 | P241 | P241 | |
P242 | P242 | P242 | |
P243 | P243 | P243 | |
P280 | P280 | P280 | |
Sicherheitshinweise – | P303 + | P303 + | P303 + |
P370 + | P370 + | P370 + | |
Sicherheitshinweise – | P403 + P235 | P403 + | P403 + |
Sicherheitshinweise – | P501 | P501 | P501 |
2.6.4. | Zusätzliche Hinweise für die Einstufung |
2.6.4.1. | Zur Einstufung entzündbarer Flüssigkeiten sind Daten über den Flammpunkt und den Siedebeginn erforderlich. Sie können durch Prüfung ermittelt, der Literatur entnommen oder berechnet werden. Sind keine Daten verfügbar, müssen der Flammpunkt und der Siedebeginn durch Prüfung ermittelt werden. Für die Ermittlung des Flammpunktes muss eine Methode angewandt werden, bei der ein geschlossener Tiegel verwendet wird. |
2.6.4.2. | Bei Gemischen (5), die bekannte entzündbare Flüssigkeiten in festgelegten Konzentrationen enthalten, muss der Flammpunkt nicht experimentell bestimmt werden, selbst wenn sie nichtflüchtige Bestandteile wie Polymere oder Additive enthalten, falls der nach der im nachstehenden Abschnitt 2.6.4.3 genannten Methode berechnete Flammpunkt des Gemisches mindestens 5 °C (6) über dem relevanten Einstufungskriterium liegt und sofern: (ABl. L 86/2019)
(5) Bislang ist die Berechnungsmethode für Gemische validiert, die bis zu sechs flüchtige Bestandteile enthalten. Zu diesen Bestandteilen können entzündbare Flüssigkeiten wie Kohlenwasserstoffe, Ether, Alkohole, Ester (außer Acrylate) und Wasser gehören. Die Methode wurde allerdings noch nicht für Gemische validiert, die halogenierte, schwefelhaltige und/oder phosphorhaltige Bestandteile sowie reaktive Acrylate enthalten. (6) Wenn der berechnete Flammpunkt weniger als 5 °C über dem relevanten Einstufungskriterium liegt, darf die Berechnungsmethode nicht angewandt werden. In einem solchen Fall ist der Flammpunkt experimentell zu ermitteln. |
2.6.4.3. | Eine geeignete Methode wird in Gmeling und Rasmussen (Ind. Eng. Fundament, 21, 186, (1982)) beschrieben. Bei einem Gemisch, das nichtflüchtige Bestandteile enthält, wird der Flammpunkt anhand der flüchtigen Bestandteile errechnet. Dabei wird davon ausgegangen, dass ein nichtflüchtiger Bestandteil den Partialdruck der Lösemittel nur geringfügig senkt und der berechnete Flammpunkt nur knapp unter dem Messwert liegt. |
2.6.4.4. | Mögliche Prüfverfahren zur Bestimmung des Flammpunkts von entzündbaren Flüssigkeiten sind in der Tabelle 2.6.3. aufgeführt. |
Tabelle 2.6.3
Methoden zur Bestimmung des Flammpunkts von entzündbaren Flüssigkeiten
Europäische Normen | EN ISO 1516 |
| EN ISO 1523 |
| EN ISO 2719 |
| EN ISO 3679 |
| EN ISO 3680 |
| EN ISO 1373 |
Einzelstaatliche Normen: |
|
Association française de normalisation (AFNOR): | NF M07-036 in der aktuellen Ausgabe |
Deutsches Institut für Normung e. V. | DIN 51755 (Flammpunkte unter 65 °C) in der aktuellen Ausgabe Prüfung von Mineralölen und anderen brennbaren Flüssigkeiten; Bestimmung des Flammpunktes im geschlossenen Tiegel, nach Abel-Pensky |
(ABl. L 83/2011)
2.7. | Entzündbare Feststoffe |
2.7.1. | Begriffsbestimmung |
2.7.1.1. | Entzündbarer Feststoff: Feststoff, der leicht brennbar ist oder durch Reibung Brand verursachen oder fördern kann. |
2.7.2.1. | Pulverförmige, körnige oder pastöse Stoffe oder Gemische (ausgenommen Metallpulver oder Pulver von Metalllegierungen – siehe Abschnitt 2.7.2.2) sind als leicht brennbare Feststoffe einzustufen, wenn bei einem oder mehreren Prüfdurchläufen nach der Prüfmethode gemäß den UN RTDG, Handbuch über Prüfungen und Kriterien, Teil III Unterabschnitt 33.2.1, die Abbrandzeit kürzer als 45 Sekunden ist oder die Abbrandgeschwindigkeit mehr als 2,2 mm/s beträgt. (ABl. L 149/2013) |
2.7.2.2. | Metallpulver oder Pulver von Metalllegierungen sind als entzündbare Feststoffe einzustufen, wenn sie entzündet werden können und die Reaktion sich in 10 Minuten oder weniger über die gesamte Länge der Probe (100 mm) ausbreitet. (ABl. L 86/2019) |
2.7.2.3. | Ein entzündbarer Feststoff ist anhand der Methode N.1 gemäß den UN RTDG Handbuch über Prüfungen und Kriterien, Unterabschnitt 33.2.1, nach Tabelle 2.7.1 in eine der beiden Kategorien dieser Klasse einzustufen: (ABl. L 149/2013) |
Tabelle 2.7.1 | |
Kategorie | Kriterien |
| Prüfung der Abbrandgeschwindigkeit |
| Andere Stoffe und Gemische als Metallpulver: |
1 | 1. befeuchtete Zone hält Brand nicht auf und |
| 2. Abbrandzeit < 45 Sekunden oder Abbrandgeschwindigkeit > 2,2 mm/s |
| Metallpulver: |
| Abbrandzeit ≤ 5 Minuten |
| Prüfung der Abbrandgeschwindigkeit |
| Andere Stoffe und Gemische als Metallpulver: |
2 | 1. befeuchtete Zone hält Brand für mindestens 4 Minuten auf und |
| 2. Abbrandzeit < 45 Sekunden oder Abbrandgeschwindigkeit > 2,2 mm/s |
| Metallpulver: |
| Abbrandzeit > 5 Minuten und ≤ 10 Minuten |
Hinweis 1:
Der Stoff oder das Gemisch wird in der physikalischen Form geprüft, in der er/es vorliegt. Wenn z. B. zu Lieferungs- oder Transportzwecken eine Chemikalie in einer anderen physikalischen Form vorliegt als in der geprüften und in einem solchen Fall davon auszugehen ist, dass bei einer Einstufungsprüfung die Ergebnisse wahrscheinlich wesentlich abweichen, muss der Stoff auch in der neuen Form geprüft werden.
Hinweis 2:
Aerosole dürfen nicht als entzündbare Feststoffe eingestuft werden; siehe Kapitel 2.3.
(ABl. L 83/2011)
2.7.3. | Gefahrenkommunikation |
Tabelle 2.7.2
Kennzeichnungselemente für entzündbare Feststoffe
Einstufung | Kategorie 1 | Kategorie 2 |
GHS-Piktogramm | ![]() | ![]() |
Signalwort | Gefahr | Achtung |
Gefahrenhinweis | H228: | H228: |
Sicherheitshinweise – | P210 | P210 |
Sicherheitshinweise – | P370 + | P370 + |
Sicherheitshinweise – | ||
Sicherheitshinweise – |
2.8. | Selbstzersetzliche Stoffe und Gemische | ||||||||||||||||||||
2.8.1. | Begriffsbestimmung | ||||||||||||||||||||
2.8.1.1. | Selbstzersetzliche Stoffe oder Gemische: thermisch instabile, flüssige oder feste Stoffe oder Gemische, die sich auch ohne Beteiligung von Sauerstoff (Luft) stark exotherm zersetzen können. Diese Definition schließt Stoffe oder Gemische aus, die nach diesem Teil des Anhangs als explosive Stoffe/Gemische, als organische Peroxide oder als oxidierend eingestuft wurden. | ||||||||||||||||||||
2.8.1.2. | Selbstzersetzliche Stoffe oder Gemische werden als Stoffe oder Gemische mit explosiven Eigenschaften angesehen, wenn die Formulierungen im Laborversuch leicht detonieren, schnell deflagrieren oder bei Erhitzen unter Einschluss heftig reagieren. | ||||||||||||||||||||
2.8.2. | Einstufungskriterien | ||||||||||||||||||||
2.8.2.1. | Alle selbstzersetzlichen Stoffe oder Gemische sind für eine Einstufung in diese Klasse in Betracht zu ziehen, es sei denn:
| ||||||||||||||||||||
2.8.2.2. | Gemische aus oxidierenden Stoffen, die die Kriterien für die Einstufung als oxidierende Stoffe erfüllen, in denen 5 % oder mehr brennbare organische Stoffe enthalten sind und die die obigen Kriterien nach den Buchstaben a, c, d oder e in Abschnitt 2.8.2.1 nicht erfüllen, werden dem Verfahren für die Einstufung als selbstzersetzlicher Stoff unterzogen. Weist ein solches Gemisch die Eigenschaften eines selbstzersetzlichen Stoffes der Typen B bis F (siehe Abschnitt 2.8.2.3) auf, ist es als selbstzersetzlicher Stoff einzustufen. Wird die Prüfung in der verpackten Form durchgeführt und die Verpackung dann verändert, ist eine weitere Prüfung vorzunehmen, falls davon auszugehen ist, dass die Veränderung der Verpackung das Prüfergebnis beeinflusst. | ||||||||||||||||||||
2.8.2.3. | Selbstzersetzliche Stoffe und Gemische sind anhand folgender Grundsätze in eine der sieben Kategorien „Typ A bis Typ G“ dieser Klasse einzustufen:
Wird die Prüfung in der verpackten Form durchgeführt und die Verpackung dann verändert, ist eine weitere Prüfung vorzunehmen, falls davon auszugehen ist, dass die Veränderung der Verpackung das Prüfergebnis beeinflusst. | ||||||||||||||||||||
2.8.2.4. | Kriterien für die Temperaturkontrolle | ||||||||||||||||||||
2.8.3. | Gefahrenkommunikation |
Tabelle 2.8.1
Kennzeichnungselemente für selbstzersetzliche Stoffe und Gemische
Einstufung | Typ A | Typ B | Typen C & D | Typen E & F | Typ G • [Fußnote: Die Einleitung von Anhang IV gibt genaueren Aufschluss über die Verwendung eckiger Klammern.] |
GHS- | ![]() | ![]() ![]() | ![]() | ![]() | Dieser Gefahren- |
Signalwort | Gefahr | Gefahr | Gefahr | Achtung | |
Gefahren- | H240: | H241: | H242: | H242: | |
Sicherheits- | P210 | P210 | P210 | P210 | |
Sicherheits- | P370 +P370 + | P370 + P380 + P375 | P370 + P378 | P370 + P378 | |
Sicherheits- | P403 + P235 | P403 + P235 | P403 + P235 | P403 + P235 | |
Sicherheits- | P501 | P501 | P501 | P501 |
(ABl. L 156/2016)
Dem Typ G sind zwar keine Elemente der Gefahrenkommunikation zugewiesen, doch kommt er für Eigenschaften in Frage, die unter andere Gefahrenklassen fallen.
2.8.4. | Zusätzliche Hinweise für die Einstufung |
2.8.4.1. | Die einstufungsrelevanten Eigenschaften selbstzersetzlicher Stoffe oder Gemische sind experimentell zu bestimmen. Die Einstufung eines selbstzersetzlichen Stoffes oder Gemisches ist anhand der Prüfserien A bis H gemäß den UN RTDG, Handbuch über Prüfungen und Kriterien, Teil II, vorzunehmen. Das Einstufungsverfahren ist in Abbildung 2.8.1 dargestellt. (ABl. L 149/2013) |
2.8.4.2. | Die Einstufungsverfahren für selbstzersetzliche Stoffe und Gemische entfallen,
|
Abbildung 2.8.1
Selbstzersetzliche Stoffe und Gemische
(ABl. L 156/2016)
2.9. | Pyrophore Flüssigkeiten |
2.9.1. | Begriffsbestimmung |
2.9.2. | Einstufungskriterien |
2.9.2.1. | Eine pyrophore Flüssigkeit ist anhand der Prüfung N.3 der UN RTDG, Handbuch über Prüfungen und Kriterien, Teil III Unterabschnitt 33.3.1.5, nach der Tabelle 2.9.1 in eine einzige Kategorie dieser Klasse einzustufen: (ABl. L 149/2013) |
Tabelle 2.9.1 | |
Kategorie | Kriterien |
1 | In Berührung mit Luft entzündet sich die Flüssigkeit innerhalb von 5 Minuten, wenn sie auf ein inertes Trägermaterial aufgetragen wird, oder sie entzündet oder verkohlt ein Filterpapier innerhalb von 5 Minuten. |
2.9.3. | Gefahrenkommunikation |
Tabelle 2.9.2
Kennzeichnungselemente für pyrophore Flüssigkeiten
Einstufung | Kategorie 1 |
GHS-Piktogramm | ![]() |
Signalwort | Gefahr |
Gefahren- | H250: Entzündet sicht in Berührung mit Luft von selbst |
Sicherheitshinweise – Prävention | P210 |
Sicherheitshinweise – Reaktion | P302 + P334 |
Sicherheitshinweise – Lagerung | |
Sicherheitshinweise – Entsorgung | |
(ABl. L 156/2016) | |
2.9.4. | Zusätzliche Hinweise für die Einstufung |
2.9.4.1. | Das Einstufungsverfahren für pyrophore Flüssigkeiten braucht nicht angewandt zu werden, wenn die Erfahrung bei der Herstellung oder Handhabung zeigt, dass sich der Stoff oder das Gemisch in Berührung mit Luft und bei normalen Temperaturen nicht von selbst entzündet (d.h. von diesem Stoff ist bekannt, dass er bei Raumtemperatur über längere Zeiträume (Tage) hinweg stabil ist). |
2.10. | Pyrophore Feststoffe |
2.10.1. | Begriffsbestimmung |
2.10.2. | Einstufungskriterien |
2.10.2.1. | Ein pyrophorer Feststoff ist anhand der Prüfung N.2 der UN RTDG, Handbuch über Prüfungen und Kriterien, Teil III Unterabschnitt 33.3.1.4, nach Tabelle 2.10.1 in die einzige Kategorie dieser Klasse einzustufen: (ABl. L 149/2013) |
Tabelle 2.10.1
Kriterien für pyrophore Feststoffe
Kategorie | Kriterien |
1 | Der Feststoff entzündet sich in Berührung mit Luft innerhalb von fünf Minuten. |
Hinweis:
Der Stoff oder das Gemisch wird in der physikalischen Form geprüft, in der er/es vorliegt. Wenn z.B. zu Lieferungs- oder Transportzwecken eine Chemikalie in einer anderen physikalischen Form vorliegt als in der geprüften und in einem solchen Fall davon auszugehen ist, dass bei einer Einstufungsprüfung die Ergebnisse wahrscheinlich wesentlich abweichen, muss der Stoff auch in der neuen Form geprüft werden.
2.10.3. | Gefahrenkommunikation |
Tabelle 2.10.2
Kennzeichnungselemente für pyrophore Feststoffe
Einstufung | Kategorie 1 |
GHS-Piktogramm | ![]() |
Signalwort | Gefahr |
Gefahrenhinweis | H250: Entzündet sich in Berührung mit Luft von selbst |
Sicherheitshinweise – Prävention | P210 |
Sicherheitshinweise – Reaktion | P302 + P335 + P334 |
Sicherheitshinweise – Lagerung | |
Sicherheitshinweise – Entsorgung | |
(ABl. L 156/2016) | |
2.10.4. | Zusätzliche Hinweise für die Einstufung |
2.10.4.1. | Das Einstufungsverfahren für pyrophore Feststoffe braucht nicht angewandt zu werden, wenn die Erfahrung bei der Herstellung oder Handhabung zeigt, dass sich der Stoff in Berührung mit Luft und bei normalen Temperaturen nicht von selbst entzündet (d.h. von diesem Stoff ist bekannt, dass er bei Raumtemperatur über längere Zeiträume (Tage) hinweg stabil ist). |
2.11. | Selbsterhitzungsfähige Stoffe und Gemische |
2.11.1. | Begriffsbestimmung |
2.11.1.1. | Selbsterhitzungsfähige Stoffe oder Gemische: flüssige oder feste Stoffe oder Gemische, die keine pyrophoren Flüssigkeiten oder Feststoffe sind und die dazu neigen, sich in Berührung mit Luft ohne Energiezufuhr selbst zu erhitzen; derartige Stoffe oder Gemische unterscheiden sich von pyrophoren Flüssigkeiten oder Feststoffen darin, dass sie sich nur in großen Mengen (mehrere Kilogramm) und nach einem längeren Zeitraum (Stunden oder Tage) entzünden. |
2.11.1.2. | Bei der Selbsterhitzung eines Stoffs oder Gemisches handelt es sich um einen Prozess, bei dem die allmähliche Reaktion des Stoffes oder Gemisches mit dem (Luft-) Sauerstoff Wärme erzeugt. Ist die Menge der erzeugten Wärme größer als die Menge der abgeführten Wärme, steigt die Temperatur des Stoffs oder Gemisches an, was nach einer Induktionszeit zur Selbstentzündung und zum Verbrennen führen kann. (ABl. L 83/2011) |
2.11.2. | Einstufungskriterien |
2.11.2.1. | Stoffe oder Gemische sind als selbsterhitzungsfähige Stoffe oder Gemische dieser Klasse einzustufen, wenn die Prüfungen gemäß dem Prüfverfahren in Teil III Unterabschnitt 33.3.1.6 der UN RTDG, Handbuch über Prüfungen und Kriterien, Folgendes ergeben: (ABl. L 149/2013)
|
2.11.2.2. | Selbsterhitzungsfähige Stoffe oder Gemische sind in eine der beiden Kategorien dieser Klasse einzustufen, sofern bei einer Prüfung nach dem Prüfverfahren N.4 der UN RTDG, Handbuch über Prüfungen und Kriterien, Teil III Unterabschnitt 33.3.1.6, das Ergebnis den Kriterien nach Tabelle 2.11.1 entspricht. (ABl. L 149/2013) |
Tabelle 2.11.1.
Kriterien für selbsterhitzungsfähige Stoffe und Gemische
Kategorie | Kriterien | |
1 |
| Das Ergebnis der Prüfung mit einer kubischen Probe von 25 mm Kantenlänge ist bei 140 °C positiv. |
| a) | In einer kubischen Probe mit 100 mm Kantenlänge ist das Ergebnis bei 140 °C positiv und in einer kubischen Probe mit 25 mm Kantenlänge ist das Ergebnis bei 140 °C negativ und der Stoff oder das Gemisch wird in Verpackungen mit einem Volumen von mehr als 3 m3 verpackt, oder |
2 | b) | in einer kubischen Probe mit 100 mm Kantenlänge ist das Ergebnis bei 140 °C positiv und in einer kubischen Probe mit 25 mm Kantenlänge ist das Ergebnis bei 140 °C negativ, in einer kubischen Probe mit 100 mm Kantenlänge ist das Ergebnis bei 120 °C positiv und der Stoff oder das Gemisch wird in Verpackungen mit einem Volumen von mehr als 450 Liter verpackt, oder |
| c) | in einer kubischen Probe mit 100 mm Kantenlänge ist das Ergebnis bei 140 °C positiv und in einer kubischen Probe mit 25 mm Kantenlänge ist das Ergebnis bei 140 °C negativ und in einer kubischen Probe mit 100 mm Kantenlänge ist das Ergebnis bei 100 °C positiv. |
Hinweis:
Der Stoff oder das Gemisch wird in der physikalischen Form geprüft, in der er/es vorliegt. Wenn z.B. zu Lieferungs- oder Transportzwecken eine Chemikalie in einer anderen physikalischen Form vorliegt als in der geprüften und in einem solchen Fall davon auszugehen ist, dass bei einer Einstufungsprüfung die Ergebnisse wahrscheinlich wesentlich abweichen werden, muss der Stoff auch in der neuen Form geprüft werden.
2.11.2.3. | Stoffe und Gemische mit einer Selbstentzündungstemperatur von mehr als 50 °C für ein Volumen von 27 m3 sind nicht als selbsterhitzungsfähig einzustufen. |
2.11.2.4. | Stoffe und Gemische mit einer Selbstentzündungstemperatur von mehr als 50 °C für ein Volumen von 450 Litern sind nicht der Kategorie 1 dieser Klasse zuzuordnen. |
2.11.3. | Gefahrenkommunikation |
Tabelle 2.11.2
Kennzeichnungselemente für selbsterhitzungsfähige Stoffe und Gemische
Einstufung | Kategorie 1 | Kategorie 2 |
GHS-Piktogramm | ![]() | ![]() |
Signalwort | Gefahr | Achtung |
Gefahrenhinweis | H251: | H252: |
Sicherheitshinweise – | P235 | P235 |
Sicherheitshinweise – | ||
Sicherheitshinweise – | P407 | P407 |
Sicherheitshinweise – | ||
(ABl. L 156/2016) | ||
2.11.4. | Zusätzliche Hinweise für die Einstufung |
2.11.4.1. | Eine ausführliche Darstellung der Entscheidungslogik für die Einstufung und die Prüfungen zur Feststellung der verschiedenen Kategorien ist Abbildung 2.11.1 zu entnehmen. |
2.11.4.2. | Das Einstufungsverfahren für selbsterhitzungsfähige Stoffe oder Gemische braucht nicht angewandt zu werden, wenn sich die Ergebnisse eines Screeningtests sinnvoll mit der Einstufungsprüfung korrelieren lassen und eine angemessene Sicherheitsmarge besteht. Beispiele für Screeningtests sind:
|
Abbildung 2.11.1
Selbsterhitzungsfähige Stoffe und Gemische

2.12. | Stoffe und Gemische, die in Berührung mit Wasser entzündbare Gase entwickeln |
2.12.1. | Begriffsbestimmung |
2.12.2. | Einstufungskriterien |
2.12.2.1. | Stoffe oder Gemische, die in Berührung mit Wasser entzündbare Gase entwickeln, sind anhand der Prüfung N.5 der UN RTDG, Handbuch über Prüfungen und Kriterien, Teil III Unterabschnitt 33.4.1.4, nach Tabelle 2.12.1 in eine der drei Kategorien dieser Klasse einzustufen: (ABl. L 149/2013) |
Tabelle 2.12.1
Kriterien für Stoffe oder Gemische, die in Berührung mit Wasser entzündbare Gase entwickeln
Kategorie | Kriterien |
1 | Alle Stoffe oder Gemische, die bei Raumtemperatur heftig mit Wasser reagieren, wobei das entwickelte Gas im Allgemeinen dazu neigt, sich spontan zu entzünden, oder die bei Raumtemperatur leicht mit Wasser reagieren, wobei die Entwicklungsrate des entzündbaren Gases mindestens 10 Liter pro Kilogramm des zu prüfenden Stoffes innerhalb einer Minute beträgt |
2 | Alle Stoffe oder Gemische, die bei Raumtemperatur leicht mit Wasser reagieren, wobei die maximale Entwicklungsrate des entzündbaren Gases mindestens 20 Liter pro Kilogramm des zu prüfenden Stoffes pro Stunde beträgt, und die die Kriterien für Kategorie 1 nicht erfüllen |
3 | Alle Stoffe oder Gemische, die bei Raumtemperatur langsam mit Wasser reagieren, wobei die maximale Entwicklungsrate des entzündbaren Gases mehr als 1 Liter pro Kilogramm des zu prüfenden Stoffes pro Stunde beträgt, und die die Kriterien für die Kategorien 1 und 2 nicht erfüllen |
Hinweis:
Der Stoff oder das Gemisch wird in der physikalischen Form geprüft, in der er/es vorliegt. Muss ein Stoff beispielsweise zum Zwecke der Lieferung oder der Beförderung in einer anderen physikalischen Form vorgelegt werden als der, in der er geprüft wurde, und von der angenommen wird, dass sie sein Verhalten in einem Einstufungstest wesentlich ändern wird, so muss der Stoff auch in der neuen Form geprüft werden.
(ABl. L 86/2019)
2.12.2.2. | Ein Stoff oder Gemisch ist dann als Stoff oder Gemisch, der/das in Berührung mit Wasser entzündbare Gase entwickelt, einzustufen wenn es bei irgendeinem Schritt des Prüfverfahrens zur spontanen Entzündung kommt. |
2.12.3. | Gefahrenkommunikation |
Tabelle 2.12.2
Kennzeichnungselemente für Stoffe oder Gemische, die in Berührung mit Wasser entzündbare Gase entwickeln
Einstufung | Kategorie 1 | Kategorie 2 | Kategorie 3 |
GHS-Piktogramm | ![]() | ![]() | ![]() |
Signalwort | Gefahr | Gefahr | Achtung |
Gefahrenhinweis | H260: | H261:In Berührung mit Wasser | H261: In Berührung mit Wasser |
Sicherheitshinweise – | P223 | P223 | P231 + P232 |
Sicherheitshinweise – | P302 + P335 + P334 | P 302 + P335 + P334 | P370 + P378 |
Sicherheitshinweise – | P402 + P404 | P402 + P404 | P402 + P404 |
Sicherheitshinweise – | P501 | P501 | P501 |
(ABl. L 156/2016) | |||
2.12.4. | Zusätzliche Hinweise für die Einstufung | ||||||||
2.12.4.1. | Das Einstufungsverfahren für diese Klasse braucht nicht angewandt zu werden,
| ||||||||
2.13. | Oxidierende Flüssigkeiten | ||||||||
2.13.1. | Begriffsbestimmung | ||||||||
2.13.2. | Einstufungskriterien | ||||||||
2.13.2.1. | Eine oxidierende Flüssigkeit ist anhand der Prüfung O.2 der UN RTDG, Handbuch über Prüfungen und Kriterien, Teil III Unterabschnitt 34.4.2, nach der Tabelle 2.13.1 in eine der drei Kategorien dieser Klasse einzustufen: (ABl. L 149/2013) Tabelle 2.13.1
| ||||||||
2.13.3. | Gefahrenkommunikation |
Tabelle 2.13.2
Kriterien für oxidierende Flüssigkeiten
Einstufung | Kategorie 1 | Kategorie 2 | Kategorie 3 |
GHS-Piktogramm | ![]() | ![]() | ![]() |
Signalwort | Gefahr | Gefahr | Achtung |
Gefahrenhinweis | H271: Kann Brand oder Explosion | H272: | H272: |
Sicherheitshinweise – | P210 | P210 | P210 |
Sicherheitshinweise – | P306 + P360 | P370 + P378 | P370 + P378 |
Sicherheitshinweise – | |||
Sicherheitshinweise – | P501 | P501 | P501 |
(ABl. L 156/2016) | |||
2.13.4. | Zusätzliche Hinweise für die Einstufung |
2.13.4.1. | Bei organischen Stoffen oder Gemischen ist das Einstufungsverfahren für diese Klasse nicht anzuwenden, wenn
|
2.13.4.2. | Bei anorganischen Stoffen oder Gemischen, die keine Sauerstoff- oder Halogenatome enthalten, ist das Einstufungsverfahren für diese Klasse nicht anzuwenden. |
2.13.4.3. | Im Fall von Abweichungen zwischen Prüfergebnissen und der Erfahrung bei der Handhabung und Verwendung von Stoffen und Gemischen, die zeigt, dass sie oxidierend wirken, haben die Bewertungen aufgrund bekannter Erfahrungswerte Vorrang vor den Prüfergebnissen. |
2.13.4.4. | Falls Stoffe oder Gemische aufgrund chemischer Reaktionen einen (zu hohen oder zu niedrigen) Druckanstieg erzeugen, der nicht auf die oxidierenden Eigenschaften des Stoffes oder Gemisches zurückzuführen ist, ist es erforderlich, die Prüfung nach Teil III Unterabschnitt 34.4.2 der UN RTDG, Handbuch über Prüfungen und Kriterien, mit einem inerten Stoff wie beispielsweise Kieselgur (Diatomit) anstatt mit Cellulose zu wiederholen, um die Art der Reaktion festzustellen und ein ggf. falsch positives Ergebnis zu überprüfen. (ABl. L 149/2013) |
2.14. | Oxidierende Feststoffe |
2.14.1. | Begriffsbestimmung |
2.14.2. | Einstufungskriterien |
2.14.2.1. | Ein oxidierender Feststoff ist anhand der Prüfung O.1 in Teil III Unterabschnitt 34.4.1 oder anhand der Prüfung O.3 in Teil III Unterabschnitt 34.4.3 der UN RTDG, Handbuch über Prüfungen und Kriterien, nach der Tabelle 2.14.1 in eine der drei Kategorien dieser Klasse einzustufen: (ABl. L 156/2016) |
Tabelle 2.14.1
Kriterien für oxidierende Feststoffe
Kategorie | Kriterien bei Prüfung O.1 | Kriterien bei Prüfung O.3 |
1 | Alle Stoffe oder Gemische, | Alle Stoffe oder Gemische, |
2 | Alle Stoffe oder Gemische, | Alle Stoffe oder Gemische, |
3 | Alle Stoffe oder Gemische, | Alle Stoffe oder Gemische, |
(ABl. L 156/2016)
Anmerkung 1:
Manche oxidierende Feststoffe weisen unter bestimmten Bedingungen (wenn sie in großen Mengen gelagert werden) auch eine Explosionsgefahr auf. Einige Arten von Ammoniumnitrat können unter extremen Bedingungen explosionsfähig werden und diese Gefahr kann mit dem Detonationstest (IMSBC-Code — Internationaler Code für die Beförderung von Schüttgut über See, IMO), Anhang 2 Abschnitt 5) bewertet werden. Zweckmäßige Informationen sind im Sicherheitsdatenblatt anzugeben.
(ABl. L 156/2016)
Anmerkung 2:
Der Stoff oder das Gemisch wird in der physikalischen Form geprüft, in der er/es vorliegt. Wenn z.B. zu Lieferungs- oder Transportzwecken eine Chemikalie in einer anderen physikalischen Form vorliegt als in der geprüften und in einem solchen Fall davon auszugehen ist, dass bei einer Einstufungsprüfung die Ergebnisse wahrscheinlich wesentlich abweichen werden, muss der Stoff auch in der neuen Form geprüft werden.
2.14.3. | Gefahrenkommunikation |
Tabelle 2.14.2
Kennzeichnungselemente für oxidierende Feststoffe
Kategorie 1 | Kategorie 2 | Kategorie 3 | |
GHS-Piktogramm | ![]() | ![]() | ![]() |
Signalwort | Gefahr | Gefahr | Achtung |
Gefahrenhinweis | H271: | H272: | H272: |
Sicherheitshinweise – | P210 | P210 | P210 |
Sicherheitshinweise – | P306 + P360 | P370 + P378 | P370 + P378 |
Sicherheitshinweise – | P420 | ||
Sicherheitshinweise – | P501 | P501 | P501 |
(ABl. L 156/2016) | |||
2.14.4. | Zusätzliche Hinweise für die Einstufung | ||||||||||||||||||||
2.14.4.1. | Bei organischen Stoffen oder Gemischen ist das Einstufungsverfahren für diese Klasse nicht anzuwenden, wenn
| ||||||||||||||||||||
2.14.4.2. | Bei anorganischen Stoffen oder Gemischen, die keine Sauerstoff- oder Halogenatome enthalten, ist das Einstufungsverfahren für diese Klasse nicht anzuwenden. | ||||||||||||||||||||
2.14.4.3. | Organische Peroxide | ||||||||||||||||||||
2.15.1. | Begriffsbestimmung | ||||||||||||||||||||
2.15.1.1 | Organische Peroxide: flüssige oder feste organische Stoffe, die die bivalente Struktur -O-O- enthalten und als Wasserstoffperoxid-Derivate gelten können, bei denen eines der Wasserstoffatome oder beide durch organische Radikale ersetzt wurden. Der Begriff organische Peroxide umfasst auch Gemische (Formulierungen) mit mindestens einem organischen Peroxid. Organische Peroxide sind thermisch instabile Stoffe oder Gemische, die einer selbstbeschleunigenden exothermen Zersetzung unterliegen können. Ferner können sie eine oder mehrere der folgenden Eigenschaften aufweisen:
| ||||||||||||||||||||
2.15.1.2. | Ein organisches Peroxid wird als Stoff oder Gemisch mit explosiven Eigenschaften angesehen, wenn das Gemisch (die Formulierung) im Laborversuch dazu neigt, zu detonieren, schnell zu deflagrieren oder bei Erhitzen unter Einschluss eine heftige Wirkung zu zeigen. | ||||||||||||||||||||
2.15.2. | Einstufungskriterien | ||||||||||||||||||||
2.15.2.1. | Alle organischen Peroxide sind dieser Klasse zuzuordnen, außer:
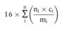
Hinweis: ![]() wobei gilt: ni= Anzahl der Peroxidgruppen pro Molekül des organischen Peroxids i ci = Konzentration (in Massenprozent) des organischen Peroxids i mi= molekulare Masse des organischen Peroxids i | ||||||||||||||||||||
2.15.2.2. | Organische Peroxide sind anhand folgender Grundsätze in eine der sieben Kategorien „Typ A bis Typ G“ dieser Klasse einzustufen:
| ||||||||||||||||||||
2.15.2.3. | Kriterien für die Temperaturkontrolle
Die Prüfverfahren zur SADT-Bestimmung und die Ableitung von Kontroll- und Notfalltemperaturen sind in den UN RTDG, Handbuch für Prüfungen und Kriterien, Teil II Abschnitt 28, angegeben. Die ausgewählte Prüfung ist so durchzuführen, dass sie sowohl für die Größe als auch für das Material der Verpackung repräsentativ ist. (ABl. L 149/2013) | ||||||||||||||||||||
2.15.3. | Gefahrenkommunikation |
Tabelle 2.15.1
Kennzeichnungselemente für organische Peroxide
Einstufung | Typ A | Typ B | Typen C & D | Typen E & F | Typ G |
GHS-Piktogramm | ![]() | ![]() ![]() | ![]() | ![]() | Dieser Gefahren- |
Signalwort | Gefahr | Gefahr | Gefahr | Achtung | |
Gefahren- | H240: | H241: | H242: | H242: Erwärmung | |
Sicherheits- | P210 | P210 | P210 | P210 | |
Sicherheits- | P370 + P372 + P380 + P373 | P370 + P380 + P375 [+ P378] • [Fußnote: Die Einleitung von Anhang IV gibt genaueren Aufschluss über die Verwendung eckiger Klammern.] | P370 + P378 | P370 + P378 |
|
Sicherheits- | P403 | P403 | P403 | P403 |
|
Sicherheits- | P501 | P501 | P501 | P501 |
|
(ABl. L 156/2016) | |||||
Dem Typ G sind zwar keine Elemente der Gefahrenkommunikation zugewiesen, doch kommt er für Eigenschaften in Frage, die unter andere Gefahrenklassen fallen.
2.15.4. | Zusätzliche Hinweise für die Einstufung |
2.15.4.1. | Organische Peroxide werden definitionsgemäß aufgrund ihrer chemischen Struktur und ihres Gehalts an Aktivsauerstoff und an Wasserstoffperoxid eingestuft (siehe Abschnitt 2.15.2.1). Die Eigenschaften organischer Peroxide, die für ihre Einstufung benötigt werden, sind mit Versuchen zu bestimmen. Die Einstufung organischer Peroxide ist anhand der Prüfserien A bis H der UN RTDG Handbuch für Prüfungen und Kriterien, Teil II, vorzunehmen. Das Einstufungsverfahren ist in Abbildung 2.15.1 dargestellt. (ABl. L 149/2013) |
2.15.4.2. | Gemische aus bereits eingestuften organischen Peroxiden können als derselbe Typ organisches Peroxid eingestuft werden wie ihr gefährlichster Bestandteil. Da zwei stabile Bestandteile jedoch ein thermisch instabileres Gemisch bilden können, ist die Temperatur der selbstbeschleunigenden Zersetzung (SADT) des Gemisches zu bestimmen. |
Hinweis: Die Summe der einzelnen Bestandteile kann gefährlicher sein als die Einzelbestandteile.
Abbildung 2.15.1
Organische Peroxide

(ABl. L 156/2016)
2.16. | Korrosiv gegenüber Metallen |
2.16.1. | Begriffsbestimmung |
2.16.2. | Einstufungskriterien |
2.16.2.1. | Stoffe oder Gemische, die gegenüber Metallen korrosiv sind, oder Gemische sind anhand der Prüfung der UN RTDG, Handbuch für Prüfungen und Kriterien, Teil III Abschnitt 37 Unterabschnitt 37.4, nach der Tabelle 2.16.1 in eine einzige Kategorie dieser Klasse einzustufen: (ABl. L 149/2013) |
Tabelle 2.16.1
Kriterien für Stoffe und Gemische, die gegenüber Metallen korrosiv sind
Kategorie | Kriterien |
1 | Bei Prüfung an beiden Werkstoffen übersteigt bei einer Prüftemperatur von 55 °C die Korrosionsrate auf Stahl- oder Aluminiumoberflächen 6,25 mm pro Jahr. |
Hinweis:
Ergibt bereits die erste Prüfung an Stahl oder an Aluminium, dass der geprüfte Stoff oder das geprüfte Gemisch korrodierend wirkt, ist keine weitere Prüfung an dem anderen Metall erforderlich.
2.16.3. | Gefahrenkommunikation |
Tabelle 2.16.2
Kennzeichnungselemente für Stoffe und Gemische, die gegenüber Metallen korrosiv sind
Einstufung | Kategorie 1 |
GHS-Piktogramm | ![]() |
Signalwort | Achtung |
Gefahrenhinweis | H290: Kann gegenüber Metallen korrosiv sein |
Sicherheitshinweise – Prävention | P234 |
Sicherheitshinweise – Reaktion | P390 |
Sicherheitshinweise – Lagerung | P406 |
Sicherheitshinweise – Entsorgung |
Hinweis:
Wenn ein Stoff oder ein Gemisch als korrosiv gegenüber Metallen, aber nicht als haut- und/oder augenätzend eingestuft ist, sind die Kennzeichnungsvorschriften nach Abschnitt 1.3.6 anzuwenden. (ABl. L 149/2013)
2.16.4. | Zusätzliche Hinweise für die Einstufung |
2.16.4.1. | Die Korrosionsrate kann nach dem Prüfverfahren der UN RTDG, Handbuch für Prüfungen und Kriterien, Teil III Unterabschnitt 37.4, gemessen werden. Die Versuchsproben müssen aus folgendem Material bestehen: (ABl. L 149/2013)
|
2.17. | Desensibilisierte explosive Stoffe/Gemische |
2.17.1. | Begriffsbestimmungen und allgemeine Erwägungen |
2.17.1.1. | Desensibilisierte explosive Stoffe/Gemische sind feste oder flüssige explosive Stoffe oder Gemische, die phlegmatisiert werden, um ihre explosiven Eigenschaften so zu unterdrücken, dass es zu keiner Massenexplosion kommt und sie nicht zu schnell abbrennen, sodass sie von der Gefahrenklasse „explosive Stoffe/Gemische und Erzeugnisse mit Explosivstoff“ ausgenommen werden können (siehe auch Abschnitt 2.1.4.1 Absatz 3) (7). |
2.17.1.2. | Zur Gefahrenklasse der desensibilisierten explosiven Stoffe/Gemische gehören a) feste desensibilisierte explosive Stoffe/Gemische: explosive Stoffe oder Gemische, die mit Wasser oder Alkohol befeuchtet oder mit anderen Stoffen verdünnt sind und ein homogenes festes Gemisch bilden, um ihre explosiven Eigenschaften zu unterdrücken. HINWEIS: Dazu gehört auch die Desensibilisierung durch Bildung von Hydraten der Stoffe. b) Flüssige desensibilisierte explosive Stoffe/Gemische: explosive Stoffe oder Gemische, die in Wasser oder anderen Flüssigkeiten gelöst oder suspendiert sind und ein homogenes flüssiges Gemisch bilden, um ihre explosiven Eigenschaften zu unterdrücken. |
2.17.2. | Einstufungskriterien |
2.17.2.1. | Alle explosiven Stoffe/Gemische und Erzeugnisse mit Explosivstoff in einem desensibilisierten Zustand sind für diese Klasse in Betracht zu ziehen, es sei denn, a) sie sollen eine praktische Wirkung durch Explosion oder eine pyrotechnische Wirkung hervorrufen; b) es besteht Massenexplosionsgefahr gemäß Prüfserie 6 (a) oder Prüfserie 6 (b) oder die korrigierte Abbrandgeschwindigkeit gemäß der Prüfung der Abbrandgeschwindigkeit nach Teil V Unterabschnitt 51.4 der UN RTDG, Handbuch über Prüfungen und Kriterien, ist mehr als 1 200 kg/min, oder c) die exotherme Zersetzungsenergie ist kleiner als 300 J/g. HINWEIS 1: Stoffe oder Gemische, die im desensibilisierten Zustand das Kriterium nach Buchstabe a oder b erfüllen, werden als explosive Stoffe/Gemische und Erzeugnisse mit Explosivstoff eingestuft (siehe Kapitel 2.1). Stoffe oder Gemische, die das Kriterium nach Buchstabe c erfüllen, können in den Geltungsbereich anderer physischer Gefahrenklassen fallen. HINWEIS 2: Die exotherme Zersetzungsenergie kann mit einem geeigneten kalorimetrischen Verfahren abgeschätzt werden (siehe Abschnitt 20 Unterabschnitt 20.3.3.3 in Teil II der UN RTDG, Handbuch über Prüfungen und Kriterien). |
2.17.2.2. | Desensibilisierte explosive Stoffe/Gemische werden entsprechend der korrigierten Abbrandgeschwindigkeit (Ac) unter Verwendung des Prüfverfahrens in Teil V Unterabschnitt 51.4 der UN RTDG, Handbuch über Prüfungen und Kriterien, „Abbrandrate (Außenbrandprüfung)“ in eine der vier Kategorien dieser Klasse gemäß Tabelle 2.17.1 eingestuft und für die Lieferung und Verwendung verpackt: |
Tabelle 2.17.1.
Kriterien für desensibilisierte explosive Stoffe/Gemische
Kategorie | Kriterien |
1 | Desensibilisierte explosive Stoffe/Gemische mit einer korrigierten Abbrandgeschwindigkeit (AC) von mindestens 300 kg/min, jedoch nicht mehr als 1 200 kg/min |
2 | Desensibilisierte explosive Stoffe/Gemische mit einer korrigierten Abbrandgeschwindigkeit (AC) von mindestens 140 kg/min, jedoch weniger als 300 kg/min |
3 | Desensibilisierte explosive Stoffe/Gemische mit einer korrigierten Abbrandgeschwindigkeit (AC) von mindestens 60 kg/min, jedoch weniger als 140 kg/min |
4 | Desensibilisierte explosive Stoffe/Gemische mit einer korrigierten Abbrandgeschwindigkeit (AC) von weniger als 60 kg/min |
Hinweis 1: Desensibilisierte explosive Stoffe/Gemische sind so bereitzustellen, dass sie homogen bleiben und sich bei normaler Lagerung und Handhabung, insbesondere wenn sie durch Befeuchtung desensibilisiert sind, nicht auftrennen. Der Hersteller/Lieferant macht auf dem Sicherheitsdatenblatt Angaben über die Haltbarkeit und gibt Anweisungen zur Überprüfung der Desensibilisierung. Unter bestimmten Bedingungen kann der Gehalt des Desensibilisierungsmittels (z. B. Phlegmatisierungsmittel, Befeuchtungsmittel oder -behandlung) während der Lieferung und Verwendung abnehmen, sodass das Gefährdungspotenzial der desensibilisierten explosiven Stoffe/Gemische zunehmen kann. Außerdem enthält das Sicherheitsdatenblatt Empfehlungen zur Vermeidung einer erhöhten Gefahr durch Feuer, Druckstoß oder Sprengstücke, wenn der Stoff oder das Gemisch nicht ausreichend desensibilisiert ist.
Hinweis 2: Explosive Eigenschaften desensibilisierter explosiver Stoffe/Gemische werden durch die Prüfserie 2 der UN RTDG, Handbuch über Prüfungen und Kriterien, bestimmt und sind im Sicherheitsdatenblatt anzugeben.
Hinweis 3: Für die Zwecke der Lagerung, Lieferung und Verwendung fallen desensibilisierte explosive Stoffe/Gemische nicht zusätzlich in den Anwendungsbereich der Kapitel 2.1 (Explosive Stoffe/Gemische und Erzeugnisse mit Explosivstoff), 2.6 (Entzündbare Flüssigkeiten) und 2.7 (Entzündbare Feststoffe).
2.17.3. | Gefahrenkommunikation Bei flüssigen oder festen Stoffen oder Gemischen, die die Kriterien für die Einstufung in diese Gefahrenklasse erfüllen, sind die Kennzeichnungselemente gemäß Tabelle 2.17.2 zu verwenden. |
Tabelle 2.17.2
Kennzeichnungselemente für desensibilisierte explosive Stoffe/Gemische
| Kategorie 1 | Kategorie 2 | Kategorie 3 | Kategorie 4 | |
GHS-Piktogramm | ![]() | ![]() | ![]() | ![]() |
|
Signalwort | Gefahr | Gefahr | Achtung | Achtung |
|
Gefahrenhinweise | H206: Gefahr durch Feuer, Druckstoß oder Sprengstücke; erhöhte Explosionsgefahr, wenn das Desensibilisierungsmittel reduziert wird | H207: Gefahr durch Feuer oder Sprengstücke; erhöhte Explosionsgefahr, wenn das Desensibilisierungsmittel reduziert wird | H207: Gefahr durch Feuer oder Sprengstücke; erhöhte Explosionsgefahr, wenn das Desensibilisierungsmittel reduziert wird | H208: Gefahr durch Feuer; erhöhte Explosionsgefahr, wenn das Desensibilisierungsmittel reduziert wird |
|
Sicherheitshinweise – Prävention | P210 P212 P230 P233 P280 | P210 P212 P230 P233 P280 | P210 P212 P230 P233 P280 | P210 P212 P230 P233 P280 |
|
Sicherheitshinweise – Reaktion | P370 + P380+ P375 | P370 + P380+ P375 | P370 + P380+ P375 | P371 + P380 + P375 |
|
Sicherheitshinweise – Lagerung | P401 | P401 | P401 | P401 |
|
Sicherheitshinweise – Entsorgung | P501 | P501 | P501 | P501 |
|
2.17.4. Zusätzliche Erwägungen für die Einstufung
Abbildung 2.17.1
Desensibilisierte explosive Stoffe/Gemische und Erzeugnisse mit Explosivstoff


2.17.4.1. | Das Einstufungsverfahren für desensibilisierte explosive Stoffe/Gemische muss nicht angewendet werden, wenn a) die Stoffe oder Gemische keine explosiven Stoffe/Gemische gemäß den Kriterien in Kapitel 2.1 enthalten oder b) die exotherme Zersetzungsenergie kleiner als 300 J/g ist. |
2.17.4.2. | Die exotherme Zersetzungsenergie wird anhand der bereits desensibilisierten explosiven Stoffe/Gemische (d. h. der homogenen festen oder flüssigen Gemische aus explosiven Stoffen/Gemischen und dem Stoff/den Stoffen zur Unterdrückung der explosiven Eigenschaften) bestimmt. Die exotherme Zersetzungsenergie kann mit einem geeigneten kalorimetrischen Verfahren abgeschätzt werden (siehe Abschnitt 20 Unterabschnitt 20.3.3.3 der UN RTDG, Handbuch über Prüfungen und Kriterien). |
(ABl. L 86/2019)






