Über 500 Fachinfos zu Brandvorbeugung und Brandabwehr, 100 Mustervorlagen, interaktive Tools
» Mehr Infos zum Portal Brandschutz
Chemikalienverordnung 1999 (ChemV 1999)
Teil 1
INHALT
1. | ALLGEMEINE EINLEITUNG |
2. | EINSTUFUNG AUFGRUND PHYSIKALISCH-CHEMISCHER EIGENSCHAFTEN |
2.1. | Einleitung |
2.2. | Einstufungskriterien, Auswahl der Gefahrensymbole, Gefahrenbezeichnungen sowie der Bezeichnungen der besonderen Gefahren |
2.2.1. | Explosionsgefährlich |
2.2.2. | Brandfördernd |
2.2.3. | Hochentzündlich |
2.2.4. | Leicht entzündlich |
2.2.5. | Entzündlich |
2.2.6. | Sonstige physikalisch-chemische Eigenschaften |
3. | EINSTUFUNG AUFGRUND TOXISCHER EIGENSCHAFTEN |
3.1. | Einleitung |
3.2. | Einstufungskriterien und Auswahl der Gefahrensymbole, Gefahrenbezeichnungen sowie der Bezeichnungen der besonderen Gefahren |
3.2.1. | Sehr giftig |
3.2.2. | Giftig |
3.2.3. | Gesundheitsschädlich |
3.2.4. | Anmerkungen zur Verwendung von R 48 |
3.2.5. | Ätzend |
3.2.6. | Reizend |
3.2.7. | Sensibilisierung |
3.2.8. | Sonstige toxische Eigenschaften |
4. | EINSTUFUNG AUFGRUND BESTIMMTER SPEZIFISCHER GESUNDHEITSSCHÄDEN |
4.1. | Einleitung |
4.2. | Einstufungskriterien und Auswahl der Gefahrenbezeichnungen sowie der Bezeichnungen besonderer Gefahren |
4.2.1. | Krebserzeugende Stoffe |
4.2.2. | Erbgutverändernde Stoffe |
4.2.3. | Fortpflanzungsgefährdende Stoffe |
4.2.4. | Einstufung von Zubereitungen auf Grund spezifischer Gesundheitsschäden |
5. | EINSTUFUNG AUFGRUND BESTIMMTER AUSWIRKUNGEN AUF DIE UMWELT |
5.1. | Einleitung |
5.2. | Einstufungskriterien und Auswahl der Gefahrenbezeichnungen sowie der Bezeichnungen der besonderen Gefahren |
5.2.1. | Gewässer |
5.2.2. | Nichtaquatische Umwelt |
6. | AUSWAHL DER SICHERHEITSRATSCHLÄGE |
6.1. | Einleitung |
6.2. | Sicherheitsratschläge für Stoffe und Zubereitungen |
7. | KENNZEICHNUNG |
8. | SONDERFÄLLE: STOFFE |
8.1. | Ortsbewegliche Gasbehälter |
8.2. | Gasbehälter für Propan, Butan oder Flüssiggas (LPG) |
8.3. | Metalle in kompakter Form |
8.4. | Gesundheitsschädliche Stoffe mit R 65 |
9. | SONDERFÄLLE: ZUBEREITUNGEN |
9.1. | Gasförmige Zubereitungen (Gasgemische) |
9.2. | Gasbehälter für Zubereitungen, die odoriertes Propan, Butan oder Flüssiggas (LPG) enthalten |
9.3. | Legierungen und Zubereitungen, die Polymere bzw. Elastomere enthalten |
9.4. | Zubereitungen mit R 65 |
9.5. | Organische Peroxide |
10. | LISTE DER KREBSERZEUGENDEN STOFFE GEMÄSS § 25 ABS. 11 |
1. ALLGEMEINE EINLEITUNG
1.1. Ziel der Einstufung ist die Bezeichnung aller physikalisch-chemischen, toxischen und ökotoxischen Eigenschaften eines Stoffes sowie einer Zubereitung, die bei der gebräuchlichen Handhabung oder Verwendung eine Gefahr darstellen können. Werden bei einem Stoff oder einer Zubereitung gefährliche Eigenschaften festgestellt, so ist er bzw. sie unter Angabe der Gefahren zu kennzeichnen, um Benützer, die Öffentlichkeit und die Umwelt zu schützen.
1.2. In diesem Anhang sind die allgemeinen Grundsätze für die Einstufung und Kennzeichnung von Stoffen und Zubereitungen festgelegt, auf die im II. bis IV. Abschnitt dieser Verordnung (§§ 2 bis 24) Bezug genommen wird.
Dieser Leitfaden richtet sich an alle, die mit dem Verfahren der Einstufung und Kennzeichnung gefährlicher Stoffe und gefährlicher Zubereitungen befaßt sind (Hersteller, Einführer oder Vertreiber).
1.3. Die Einstufung und Kennzeichnung sollen der Allgemeinheit und den Beschäftigten erste wesentliche Informationen über gefährliche Stoffe und gefährliche Zubereitungen vermitteln. Die Kennzeichnung weist Personen, die mit Stoffen und Zubereitungen umgehen, auf die mit ihnen verbundenen Gefahren hin.
Die Kennzeichnung soll auch dazu dienen, die Aufmerksamkeit auf ausführliche Produktinformationen über Sicherheit und Verwendung zu lenken, die in anderer Form verfügbar sind.
1.4. Die Kennzeichnung berücksichtigt alle potentiellen Gefahren, die bei der gebräuchlichen Handhabung oder Verwendung gefährlicher Stoffe und gefährlicher Zubereitungen auftreten können, wenn diese in einer Form vorliegen, in der sie in den Verkehr gesetzt werden. Sie bezieht sich aber nicht unbedingt auf eine Form, in der diese Stoffe und Zubereitungen letztendlich verwendet werden können (z.B. verdünnt). Auf die Hauptgefahren weisen Gefahrensymbole hin; auf diese Gefahren sowie auf die, die sich aus anderen gefährlichen Eigenschaften ergeben, wird durch standardisierte Bezeichnungen der besonderen Gefahren (R-Sätze) hingewiesen. Hinweise auf notwendige Vorsichtsmaßnahmen werden durch Sicherheitsratschläge (S-Sätze) gegeben.
Bei Stoffen wird die Information durch den Namen des Stoffes nach einer international anerkannten chemischen Nomenklatur, vorzugsweise nach dem Europäischen Verzeichnis der auf dem Markt vorhandenen chemischen Stoffe (EINECS) oder nach der Europäischen Liste der angemeldeten chemischen Stoffe (ELINCS), die EG-Nummer, den Namen, die Anschrift und die Telefonnummer des in der Gemeinschaft ansässigen Verantwortlichen für das Inverkehrsetzen des Stoffes ergänzt.
Bei Zubereitungen wird die Information durch die Angabe der Bezeichnung oder des Handelsnamens der Zubereitung, die Angabe des chemischen Namens der in der Zubereitung enthaltenen Stoffe gemäß § 16 und die Angabe von Namen, Anschrift und Telefonnummer des in der Gemeinschaft ansässigen Verantwortlichen für das Inverkehrsetzen der Zubereitung ergänzt.
1.5. Gemäß § 4 Abs. 5 haben Hersteller, Vertreiber und Einführer von gefährlichen Stoffen, die noch nicht im Anhang I der Richtlinie 67/548/EWG aufgenommen, aber im EINECS angeführt sind, Nachforschungen anzustellen, um sich die einschlägigen und zugänglichen Angaben zu den Eigenschaften dieser Stoffe zu verschaffen. Anhand dieser Informationen haben sie dafür Sorge zu tragen, dass diese Stoffe nach den Bestimmungen der §§ 10 bis 24 sowie den Kriterien dieses Anhangs verpackt und vorläufig gekennzeichnet werden.
1.6. Für die Einstufung und Kennzeichnung erforderliche Daten
1.6.1. Die Daten, die für die Einstufung und Kennzeichnung von Stoffen erforderlich sind, können auf folgende Weise erhalten werden:
- Für Stoffe, für die Informationen gemäß den Anhängen VI, VII und VIII der REACH-V erforderlich sind, finden sich die meisten der notwendigen Angaben für die Einstufung und Kennzeichnung in der „Basisbeschreibung“. Diese Einstufung und Kennzeichnung muss gegebenenfalls überprüft werden, wenn ergänzende Informationen vorliegen (Anhänge IX und X der REACH-V). (BGBl II 393/2008)
- Für andere Stoffe (z.B. den in Punkt 1.5 genannten) können die zur Einstufung und Kennzeichnung erforderlichen Informationen aus verschiedenen Quellen bezogen werden, beispielsweise:
- den Ergebnissen früherer Prüfungen;
- Informationen, die im Rahmen der internationalen Regelung der Beförderung gefährlicher Güter erforderlich sind;
- Informationen aus Referenzarbeiten und aus der Literatur; oder
- Informationen aufgrund praktischer Erfahrungen.
Gegebenenfalls kann auch den Ergebnissen validierter Struktur/Aktivitäts-Beziehungen und Gutachten von Sachverständigen Rechnung getragen werden.
1.6.2. Die Daten, die für die Einstufung und Kennzeichnung von Zubereitungen erforderlich sind, können in der Regel auf folgende Weise erhalten werden:
- physikalisch-chemische Daten durch Anwendung der Methoden in der Verordnung (EG) Nr. 440/2008, ABl. Nr. L 142 vom 31.05.2008 S. 1. Für gasförmige Zubereitungen kann zur Bestimmung entzündlicher und brandfördernder Eigenschaften ein Berechnungsverfahren angewandt werden (vgl. Punkt 9.1.1.1 und Punkt 9.1.1.2). Für nichtgasförmige Zubereitungen, die organische Peroxide enthalten, kann zur Bestimmung brandfördernder Eigenschaften ein Berechnungsverfahren angewandt werden (vgl. Punkt 2.2.2.1). (BGBl II 393/2008)
- Daten über Auswirkungen auf die Gesundheit:
- durch Anwendung der Methoden in der Verordnung (EG) Nr. 440/2008, ABl. Nr. L 142 vom 31.05.2008 S. 1, (BGBl II 393/2008)
- und/oder durch Anwendung einer konventionellen Methode gemäß Teil 2 lit. a bis j dieses Anhangs,
- im Falle von R 65 nach den Regeln gemäß Punkt 3.2.3 dieses Anhangs,
- bei der Bewertung der krebserzeugenden, erbgutverändernden und fortpflanzungsgefährdenden Eigenschaften nach einer konventionellen Methode gemäß Teil 2 lit. k bis s dieses Anhangs.
- Daten über ökotoxische Eigenschaften
(i)
nur für aquatische Toxizität:
- durch Anwendung der Methoden inder Verordnung (EG) Nr. 440/2008, ABl. Nr. L 142 vom 31.05.2008 S. 1 unter den in Anhang B Teil 4 Kapitel C festgelegten Bedingungen, oder (BGBl II 393/2008)
- durch Anwendung einer konventionellen Methode gemäß § 8 in Verbindung mit Anhang B Teil 4, Kapitel A und B;
(ii)
für die Beurteilung der potentiellen (oder tatsächlichen) Bioakkumulation durch Bestimmung des log Pow (oder BCF) oder die Beurteilung der Abbaubarkeit durch die Anwendung einer konventionellen Methode gemäß § 8 in Verbindung mit Anhang B Teil 4, Kapitel A und B;
(iii)
bei einer Gefährdung der Ozonschicht durch die Anwendung einer konventionellen Methode gemäß § 8 in Verbindung mit Anhang B Teil 4, Kapitel A und B.
Anmerkung zur Durchführung von Tierversuchen:
Für die Durchführung von Tierversuchen zur Ermittlung experimenteller Daten gilt § 3 Abs. 7.
Anmerkung zu den physikalisch-chemischen Eigenschaften:
Daten über organische Peroxide und Zubereitungen, die solche enthalten, können nach der in Punkt 9.5 festgelegten Methode berechnet werden. Für gasförmige Zubereitungen kann eine Berechnungsmethode für entzündliche und brandfördernde Eigenschaften angewandt werden (vgl. Punkt 9).
1.7. Anwendung der Kriterien des Leitfadens
Die Einstufung muss die physikalisch-chemischen, toxischen sowie die ökotoxischen Eigenschaften von Stoffen und Zubereitungen umfassen.
Die Einstufung von Stoffen und Zubereitungen erfolgt auf der Grundlage der Kriterien im Anhang B Teil 1, Punkt 2 bis 5; die Einstufung von Stoffen als „umweltgefährlich“ erfolgt anhand der Kriterien in Anhang B Teil 1, Punkt 5 und von Zubereitungen anhand der Kriterien des Anhangs B Teil 1, Punkt 5 und Teil 4. Es sind alle Gefahrenarten zu berücksichtigen. So bedeutet eine Einstufung unter Punkt 3.2.1 beispielsweise nicht, dass Punkt 3.2.2 oder Punkt 3.2.4 unbeachtet bleiben können.
Der Sinn der Auswahl der Gefahrensymbole und der Bezeichnungen der besonderen Gefahren besteht darin, sicherzustellen, dass die charakteristischen möglichen Gefahren, die bei der Einstufung festgestellt wurden, in der Kennzeichnung zum Ausdruck gebracht werden.
1.7.1. Begriffsbestimmungen
Siehe hiezu die Definitionen für „Stoffe“ und „Zubereitungen“ im § 2 ChemG 1996.
1.7.2. Anwendung der Kriterien auf Stoffe
Die Kriterien in diesem Anhang sind unmittelbar anwendbar, wenn die Daten anhand von Prüfmethoden gewonnen wurden, die den Anforderungen des der Verordnung (EG) Nr. 440/2008, ABl. Nr. L 142 vom 31.05.2008 S. 1 entsprechen. In den anderen Fällen sind die verfügbaren Daten durch einen Vergleich der angewandten Methoden mit denen im der Verordnung (EG) Nr. 440/2008, ABl. Nr. L 142 vom 31.05.2008 S. 1 genannten und mit den Kriterien des Anhangs B Teil 1 zu bewerten, um eine geeignete Einstufung und Kennzeichnung vornehmen zu können. (BGBl II 393/2008)
Manchmal bestehen Zweifel hinsichtlich der Anwendung der einschlägigen Kriterien, insbesondere wenn diese Expertenwissen voraussetzen. In solchen Fällen sollte der Hersteller, Vertreiber oder Einführer den Stoff aufgrund einer Beurteilung durch eine fachkundige Person vorläufig einstufen und kennzeichnen.
Unbeschadet des § 4 Abs. 5 kann in Fällen, in denen das oberwähnte Verfahren angewandt wurde und in denen uneinheitliche Anwendung befürchtet wird, ein Vorschlag zur Eintragung der Einstufung in Anhang I der Richtlinie 67/548/EWG übermittelt werden. Der Vorschlag ist beim Bundesministerium für Land- und Forstwirtschaft, Umwelt und Wasserwirtschaft einzureichen und sollte die einschlägigen wissenschaftlichen Daten umfassen (siehe auch Punkt 4.1).
Ein ähnliches Verfahren kann angewandt werden, wenn Informationen bekannt werden, die Zweifel an der Richtigkeit einer bereits vorgenommenen Eintragung in Anhang I der Richtlinie 67/548/EWG hervorrufen.
1.7.2.1. Einstufung von Stoffen, die Verunreinigungen, Beimengungen oder einzelne Bestandteile enthalten
Wurden Verunreinigungen, Beimengungen oder einzelne Bestandteile von Stoffen ermittelt, sind diese dann zu berücksichtigen, wenn ihre Konzentration gleich oder größer als die folgenden Konzentrationsgrenzwerte ist:
- 0,1 % für Stoffe, die als sehr giftig, giftig oder als krebserzeugend, erbgutverändernd oder fortpflanzungsgefährdend der Kategorie 1 oder 2 oder als umweltgefährlich (mit dem Gefahrensymbol „N“ für Gewässer, gefährlich für die Ozonschicht) eingestuft wurden,
- 1 % für Stoffe, die als gesundheitsschädlich, ätzend, reizend, sensibilisierend oder als krebserzeugend, erbgutverändernd oder fortpflanzungsgefährdend der Kategorie 3 oder als umweltgefährlich (ohne das Gefahrensymbol „N“, d.h. schädlich für Wasserorganismen, kann längerfristig schädliche Wirkungen haben) eingestuft wurden,
sofern in Anhang I der Richtlinie 67/548/EWG keine niedrigeren Werte festgelegt sind.
Mit Ausnahme der Stoffe, die in Anhang I der Richtlinie 67/548/EWG aufgeführt sind, erfolgt die Einstufung nach den physikalisch-chemischen, gesundheits-gefährlichen und den umweltgefährlichen Eigenschaften gemäß dieses Anhangs und die Kennzeichnung gemäß den §§ 15 ff.
Diese allgemeine Regel gilt nicht für Asbest (650-013-00-6), solange in Anhang I der Richtlinie 67/548/EWG kein entsprechender Grenzwert festgelegt ist. Stoffe, die Asbest enthalten, sind gemäß § 4 Abs. 6 einzustufen und zu kennzeichnen.
1.7.3. Anwendung der Kriterien dieses Leitfadens auf Zubereitungen
Die Kriterien dieses Anhangs sind unmittelbar anwendbar, wenn die Daten anhand von Prüfmethoden gewonnen wurden, die denen in Anhang der Verordnung (EG) Nr. 440/2008, ABl. Nr. L 142 vom 31.05.2008 S. 1 entsprechen. Ausgenommen davon sind die Kriterien des Punktes 4, für die ausschließlich die konventionelle Methode anzuwenden ist. Eine konventionelle Methode ist ferner für die Kriterien in Punkt 5 anzuwenden; hiervon ausgenommen ist die Toxizität für Gewässer, für die die Bestimmungen in Anhang B Teil 4 Kapitel C einzuhalten sind. In den anderen Fällen sind die verfügbaren Daten durch einen Vergleich der angewandten Methoden mit den in der Verordnung (EG) Nr. 440/2008, ABl. Nr. L 142 vom 31.05.2008 S. 1genannten Methoden und den Vorschriften dieses Anhangs zu bewerten, um die geeignete Einstufung und Kennzeichnung vornehmen zu können. (BGBl II 393/2008)
Werden die Gefahren für die Gesundheit durch Anwendung der konventionellen Methode nach Teil 2 dieses Anhangs bewertet, so sind als stoffbezogene Konzentrationsgrenzen die in folgenden Quellen festgelegten Werte zu verwenden:
- Anhang I der Richtlinie 67/548/EWG
- oder Teil 3 dieses Anhangs, falls der bzw. die Stoffe im Anhang I der Richtlinie 67/548/EWG nicht oder ohne Angabe von Konzentrationsgrenzen angeführt sind.
Bei Zubereitungen, die Gasgemische enthalten, wird die Einstufung nach den Gefahren für die Gesundheit durch die Berechnungsmethode auf der Grundlage der stoffbezogenen Konzentrationsgrenzen in der Verordnung (EG) Nr. 440/2008, ABl. Nr. L 142 vom 31.05.2008 S. 1 oder, falls die Grenzwerte nicht in diesen angeführt sind, auf Grundlage der Kriterien des Teil 3 dieses Anhangs, vorgenommen. (BGBl II 393/2008)
1.7.3.1. Zubereitungen, die Stoffe nach Punkt 1.7.2.1 oder andere Zubereitungen als Bestandteile enthalten
Die Kennzeichnung hat auf der Verpackung solcher Zubereitungen auf Grund der gemäß den §§ 3ff vorgenommenen Einstufung gemäß den §§ 15ff zu erfolgen.
In einigen Fällen jedoch, ist die Information in der Kennzeichnung der Zubereitung oder des Stoffes gemäß Punkt 1.7.2.1 nicht ausreichend, um anderen Herstellern, die die Zubereitung als Bestandteil einer oder mehrerer eigener Zubereitung(en) verwenden möchten, die ordnungsgemäße Einstufung und Kennzeichnung ihrer Zubereitung(en) zu ermöglichen.
In diesen Fällen hat die für das Inverkehrsetzen der ursprünglichen Zubereitung oder des ursprünglichen Stoffes gemäß Punkt 1.7.2.1 verantwortliche Person (Hersteller, Einführer, Vertreiber) auf berechtigte Anfrage unverzüglich alle für eine ordnungsgemäße Einstufung und Kennzeichnung der neuen Zubereitung erforderlichen Daten über die enthaltenen gefährlichen Stoffe zur Verfügung zu stellen. Diese Daten werden darüber hinaus benötigt, damit der für das Inverkehrsetzen der neuen Zubereitung gemäß § 27 ChemG 1996 Verantwortliche die weiteren chemikalienrechtlichen Anforderungen erfüllen kann.
2. EINSTUFUNG AUF GRUND PHYSIKALISCH-CHEMISCHER EIGEN- SCHAFTEN
2.1. Einleitung
Die im Anhang der Verordnung (EG) Nr. 440/2008, ABl. Nr. L 142 vom 31.05.2008 S. 1 beschriebenen Prüfmethoden zur Bestimmung explosionsgefährlicher, brandfördernder und entzündlicher Eigenschaften sollen den allgemeinen Definitionen gemäß § 3 Abs. 1 Z 1 bis 5 ChemG 1996 einen konkreten Inhalt geben. Die Kriterien ergeben sich unmittelbar aus den Prüfmethoden der Verordnung (EG) Nr. 440/2008, ABl. Nr. L 142 vom 31.05.2008 S. 1, soweit diese dort angeführt sind. (BGBl II 393/2008)
Liegen ausreichende Erfahrungen aus der Praxis vor, dass die physikalisch-chemischen Eigenschaften der Stoffe und Zubereitungen – abgesehen von den organischen Peroxiden – sich von denen unterscheiden, die durch die Prüfmethoden der Verordnung (EG) Nr. 440/2008, ABl. Nr. L 142 vom 31.05.2008 S. 1 ermittelt wurden, sind diese Stoffe und Zubereitungen entsprechend ihren möglichen Gefahren einzustufen, die sie für Personen, die mit diesen Stoffen und Zubereitungen umgehen, oder für andere Personen darstellen. (BGBl II 393/2008)
2.2. Einstufungskriterien und Auswahl der Gefahrensymbole, Gefahrenbezeichnungen sowie der Bezeichnungen der besonderen Gefahren
Bei Zubereitungen sind die im § 6 angeführten Kriterien heranzuziehen.
2.2.1. Explosionsgefährlich
Stoffe und Zubereitungen werden als explosionsgefährlich eingestuft und mit dem Gefahrensymbol „E“ und der Gefahrenbezeichnung „explosionsgefährlich“ gekennzeichnet, wenn die Prüfergebnisse mit den in der Verordnung (EG) Nr. 440/2008, ABl. Nr. L 142 vom 31.05.2008 S. 1 genannten Kriterien übereinstimmen und sofern die Stoffe und Zubereitungen in der Form, in der sie in den Verkehr gesetzt werden, explosionsgefährlich sind. Ein R-Satz ist obligatorisch, er ist unter Beachtung folgender Regeln auszuwählen:
R 2 Durch Schlag, Reibung, Feuer oder andere Zündquellen explosionsgefährlich
- Stoffe und Zubereitungen, ausser die nachstehend genannten.
R 3 Durch Schlag, Reibung, Feuer oder andere Zündquellen besonders explosionsgefährlich
- Besonders empfindliche Stoffe und Zubereitungen wie z.B. Salze der Pikrinsäure, Nitropenta.
(BGBl II 393/2008)
2.2.2. Brandfördernd
Stoffe und Zubereitungen werden als brandfördernd eingestuft und mit dem Gefahrensymbol „O“ und der Gefahrenbezeichnung „brandfördernd“ gekennzeichnet, wenn die Prüfergebnisse mit den in der Verordnung (EG) Nr. 440/2008, ABl. Nr. L 142 vom 31.05.2008 S. 1 genannten Kriterien übereinstimmen. Ein R-Satz ist obligatorisch, er ist auf der Grundlage der Prüfergebnisse unter Beachtung folgender Regeln auszuwählen:
R 7 Kann Brand verursachen
- Organische Peroxide, die brennbar sind, auch wenn sie nicht mit anderen brennbaren Materialien in Berührung kommen.
R 8 Feuergefahr bei Berührung mit brennbaren Stoffen
- Sonstige brandfördernde Stoffe und Zubereitungen, einschließlich anorganischer Peroxide, die bei Berührung mit brennbaren Materialien diese entzünden können oder die Feuergefahr vergrößern.
R 9 Explosionsgefahr bei Mischung mit brennbaren Stoffen
- Sonstige Stoffe und Zubereitungen, einschließlich anorganischer Peroxide, die explosionsgefährlich werden, wenn sie mit brennbaren Materialien gemischt werden (z.B. bestimmte Chlorate). (BGBl II 393/2008)
2.2.2.1. Anmerkungen zu Peroxiden
Bezüglich ihrer explosionsgefährlichen Eigenschaften sind organische Peroxide oder solche enthaltende Zubereitungen in der Form, in der sie in Verkehr gesetzt werden, auf Grund von Prüfungen, die nach den in der Verordnung (EG) Nr. 440/2008, ABl. Nr. L 142 vom 31.05.2008 S. 1 angegebenen Methoden durchgeführt werden, nach den Kriterien in Punkt 2.2.1 einzustufen. (BGBl II 393/2008)
Zur Ermittlung der brandfördernden Eigenschaften von organischen Peroxiden können die in der Verordnung (EG) Nr. 440/2008, ABl. Nr. L 142 vom 31.05.2008 S. 1 angeführten Methoden nicht angewandt werden. (BGBl II 393/2008)
Sofern organische Peroxide als Stoffe nicht als „explosionsgefährlich“ einzustufen sind, so erfolgt ihre Einstufung als gefährlich auf der Grundlage ihrer chemischen Struktur (z.B. R-O-O-H; R1-O-O-R2).
Sofern Zubereitungen, die organische Peroxide enthalten, nicht als „explosionsgefährlich“ einzustufen sind, so erfolgt ihre Einstufung in Anwendung des Berechnungsverfahrens auf der Grundlage ihres Gehaltes an aktivem Sauerstoff in %-Anteilen, siehe hiezu das Berechnungsverfahren gemäß Punkt 9.5.
Jedes organische Peroxid und jede Zubereitung, die ein solches enthält, die nicht als explosionsgefährlich einzustufen sind, sind als brandfördernd einzustufen, wenn das Peroxid oder die Zubereitung
- über 5 % organische Peroxide oder
- über 0,5 % reaktionsfähigen Sauerstoff aus organischen Peroxiden und mehr als 5 % Wasserstoffperoxid enthält.
2.2.3. Hochentzündlich
Stoffe und Zubereitungen werden als „hochentzündlich“ eingestuft und mit dem Gefahrensymbol „F+“ und der Gefahrenbezeichnung „hochentzündlich“ gekennzeichnet, wenn die Prüfergebnisse mit den in der Verordnung (EG) Nr. 440/2008, ABl. Nr. L 142 vom 31.05.2008 S. 1 genannten Kriterien übereinstimmen. Der R-Satz ist nach den folgenden Kriterien zuzuordnen:
R 12 Hochentzündlich
- Flüssige Stoffe und Zubereitungen, die einen Flammpunkt unter 0 °C und einen Siedepunkt (oder bei einem Siedebereich einen Siedebeginn) von höchstens 35 °C aufweisen.
- Gasförmige Stoffe und Zubereitungen, die bei Umgebungstemperatur und normalem Druck bei Luftkontakt entzündlich sind. (BGBl II 393/2008)
2.2.4. Leichtentzündlich
Stoffe und Zubereitungen werden als „leichtentzündlich“ eingestuft und mit dem Gefahrensymbol „F“ und der Gefahrenbezeichnung „leichtentzündlich“ gekennzeichnet, wenn die Prüfergebnisse mit den in der Verordnung (EG) Nr. 440/2008, ABl. Nr. L 142 vom 31.05.2008 S. 1 genannten Kriterien übereinstimmen. Die R-Sätze werden nach folgenden Kriterien zugeordnet:
R 11 Leichtentzündlich
- Feste Stoffe und Zubereitungen, die durch kurzzeitige Einwirkung einer Zündquelle leicht entzündet werden können und nach deren Entfernung weiterbrennen oder weiterglimmen können.
- Flüssige Stoffe und Zubereitungen, die einen Flammpunkt unter 21 °C aufweisen, aber nicht hochentzündlich sind.
R 15 Reagiert mit Wasser unter Bildung hochentzündlicher Gase
- Stoffe und Zubereitungen, die bei Berührung mit Wasser oder mit feuchter Luft hochentzündliche Gase in gefährlicher Menge (Mindestmenge 1 l/kg/h) entwickeln.
R 17 Selbstentzündlich an der Luft
- Stoffe und Zubereitungen, die sich bei gewöhnlicher Temperatur an der Luft ohne Energiezufuhr erhitzen und schließlich entzünden können. (BGBl II 393/2008)
2.2.5. Entzündlich
Stoffe und Zubereitungen werden als „entzündlich“ eingestuft, wenn die Prüfergebnisse mit den in der Verordnung (EG) Nr. 440/2008, ABl. Nr. L 142 vom 31.05.2008 S. 1 genannten Kriterien übereinstimmen. Der R-Satz wird nach den folgenden Kriterien zugeordnet. (BGBl II 393/2008)
R 10 Entzündlich
- Flüssige Stoffe und Zubereitungen, die einen Flammpunkt von mindestens 21 °C und höchstens 55 °C aufweisen.
In der Praxis hat sich jedoch gezeigt, dass eine Zubereitung mit einem Flammpunkt von mindestens 21 °C und höchstens 55 °C nicht als „entzündlich“ eingestuft werden muss, wenn sie in keiner Weise die Verbrennung unterhält und wenn beim Umgang dieser Zubereitung eine Gefährdung für jedermann ausgeschlossen werden kann.
2.2.6. Sonstige physikalisch-chemische Eigenschaften
Für die Stoffe und Zubereitungen, die entsprechend den Kriterien der obengenannten Punkte 2.2.1 bis 2.2.5 oder der folgenden Punkte 3, 4 und 5 eingestuft worden sind, werden nach den folgenden Kriterien (auf der Grundlage der bei der Zusammenstellung des Anhangs I der Richtlinie 67/548/EWG gesammelten Erfahrung) zusätzliche Bezeichnungen der besonderen Gefahren ausgewählt.
R 1 In trockenem Zustand explosionsgefährlich
Für explosionsgefährliche Stoffe und Zubereitungen, die in Lösung oder in feuchter Form in den Verkehr gesetzt werden; z.B. Nitrozellulose mit mehr als 12,6 % Stickstoff.
R 4 Bildet hochempfindliche explosionsgefährliche Metallverbindungen
Für Stoffe und Zubereitungen, die hochempfindliche explosionsgefährliche Metallverbindungen bilden können, z.B. Pikrinsäure, Styphninsäure.
R 5 Beim Erwärmen explosionsfähig
Für wärmeinstabile Stoffe und Zubereitungen, die nicht als explosionsgefährlich eingestuft sind, z.B. Perchlorsäure > 50 %.
R 6 Mit und ohne Luft explosionsfähig
Für Stoffe und Zubereitungen, die bei Umgebungstemperatur instabil sind, z.B. Acetylen.
R 7 Kann Brand verursachen
Für reaktive Stoffe und Zubereitungen, z.B. Fluor, Natriumhydrosulfit.
R 14 Reagiert heftig mit Wasser
Für Stoffe und Zubereitungen, die heftig mit Wasser reagieren, z.B. Acetylchlorid, Alkalimetalle, Titantetrachlorid.
R 16 Explosionsgefährlich in Mischung mit brandfördernden Stoffen
Für Stoffe und Zubereitungen, die mit brandfördernden Materialien explosiv reagieren können, z.B. roter Phosphor.
R 18 Bei Gebrauch Bildung explosionsfähiger/leichtentzündlicher Dampf-Luftgemische möglich
Für Zubereitungen, die als solche nicht als „entzündlich“ eingestuft sind, die jedoch flüchtige, in der Luft entzündliche Bestandteile enthalten.
R 19 Kann explosionsfähige Peroxide bilden
Für Stoffe und Zubereitungen, die bei Lagerung explosionsfähige Peroxide bilden können, z.B. Diethylether, 1,4-Dioxan.
R 30 Kann bei Gebrauch leichtentzündlich werden
Für Zubereitungen, die als solche nicht als „entzündlich“ eingestuft sind, die jedoch durch den Verlust nicht entzündlicher flüchtiger Bestandteile leichtentzündlich werden können.
R 44 Explosionsgefährlich bei Erhitzen unter Einschluss
Für Stoffe und Zubereitungen, die nach 2.2.1 als solche nicht als „explosionsgefährlich“ eingestuft sind, in der Praxis aber dennoch explodieren können, wenn sie unter ausreichendem Einschluss erwärmt werden. So zeigen z.B. bestimmte Stoffe, die sich in einer Stahlblechtrommel bei Erhitzen explosionsartig zersetzen, diese Eigenschaft nicht, wenn sie in schwächerer Verpackung erhitzt werden.
Weitere Bezeichnungen besonderer Gefahren siehe Punkt 3.2.8.
3. EINSTUFUNG AUF GRUND TOXISCHER EIGENSCHAFTEN
3.1. Einleitung
3.1.1. Die Einstufung umfasst akute und Langzeitwirkungen der Stoffe und Zubereitungen, unabhängig davon, ob diese Wirkungen auf eine einzige oder auf wiederholte oder längere Expositionen zurückzuführen sind.
Können auf Grund der im Anhang B Teil 1 festgelegten epidemiologischen Studien, wissenschaftlich validierten Fallstudien oder durch statistisch gestützte Erfahrungen, wie der Auswertung von Daten von Giftinformationszentren oder von Daten über Berufskrankheiten, toxische Wirkungen beim Menschen nachgewiesen werden, und unterscheiden sich diese von jenen Ergebnissen, die sich aus der Anwendung der in Punkt 1.6 angeführten Methoden ergeben, so ist der Stoff oder die Zubereitung entsprechend diesen toxischen Wirkungen auf den Menschen einzustufen. Versuche am Menschen sind für die Einstufung von Stoffen und Zubereitungen unzulässig.
Die Richtlinie 86/609/EWG hat den Schutz der für Versuchs- und andere wissenschaftliche Zwecke eingesetzten Tiere zum Ziel. Für mehrere Endpunkte sind validierte in vitro-Prüfmethoden in der Verordnung (EG) Nr. 440/2008, ABl. Nr. L 142 vom 31.05.2008 S. 1 angegeben; diese sind so weit wie möglich anzuwenden. (BGBl II 393/2008)
3.1.2. Stoffe werden auf der Grundlage der verfügbaren experimentellen Daten entsprechend den folgenden Kriterien unter Berücksichtigung der Wirkungsstärke eingestuft:
- Bei akuter Toxizität (Tod oder irreversible Schäden nach einmaliger Exposition) sind die in den Punkten 3.2.1 bis 3.2.3 angegebenen Kriterien zu verwenden.
- Bei subakuter, subchronischer oder chronischer Toxizität sind die Kriterien der Punkte 3.2.2 bis 3.2.4 zu verwenden.
- Bei ätzender und reizender Wirkung sind die Kriterien der Punkte 3.2.5 und 3.2.6 zu verwenden.
- Bei sensibilisierender Wirkung sind die Kriterien des Punktes 3.2.7 zu verwenden.
- Bei besonderen Gefahren für die Gesundheit (krebserzeugende, erbgutverändernde und fortpflanzungsgefährdende Wirkung) sind die Kriterien des Punktes 4 zu verwenden.
3.1.3. Bei Zubereitungen erfolgt die Einstufung nach den Gefahren für die Gesundheit
- auf der Grundlage einer konventionellen Methode nach Teil 2 dieses Anhangs, wenn experimentelle Daten fehlen. In diesem Fall beruht die Einstufung auf den
- in Anhang I der Richtlinie 67/548/EWG oder
- in Teil 3 dieses Anhangs, wenn der oder die Stoffe in Anhang I dieser Richtlinie nicht oder ohne Angabe von Konzentrationsgrenzen aufgeführt sind,
- oder wenn experimentelle Daten vorliegen, nach den unter Punkt 3.1.2 beschriebenen Kriterien; ausgenommen sind die krebserzeugenden, erbgutverändernden und fortpflanzungsgefährdenden Eigenschaften nach Punkt 3.1.2 lit. e, die nach einer konventionellen Methode gemäß Teil 2 lit. k–s dieses Anhangs bewertet werden müssen.
3.1.4. Wenn die Einstufung auf Grund der Ergebnisse aus Tierversuchen vorgenommen wird, so sind die Ergebnisse solcher Versuche zu verwenden, die die Gefährdung des Menschen in entsprechender Weise widerspiegeln.
3.1.5. Die akute orale Toxizität eines in den Verkehr gebrachten Stoffes oder einer solchen Zubereitung kann entweder durch Bestimmung des LD50-Wertes oder durch Bestimmung der kritischen Dosis (Fest-Dosis-Methode) oder durch Bestimmung des Expositionsbereichs, innerhalb dessen eine letale Wirkung erwartet wird (Methode der akuten toxischen Klasse), ermittelt werden.
3.1.5.1. Die höchste nichtletale Dosis ist die Dosis, die eine evidente Toxizität, jedoch keine Mortalität bewirkt, und muss einem der in der Verordnung (EG) Nr. 440/2008, ABl. Nr. L 142 vom 31.05.2008 S. 1 aufgeführten Dosiswerte (5, 50, 500 oder 2 000 mg je kg Körpergewicht) entsprechen. (BGBl II 393/2008)
Mit dem Begriff „evidente Toxizität“ werden toxische Wirkungen nach Verabreichung der Prüfsubstanz bezeichnet, die so schwerwiegend sind, dass die Verabreichung der nächsthöheren festgelegten Dosis wahrscheinlich zur Mortalität führen würde.
Bei Anwendung der Fest-Dosis-Methode können sich bei einer bestimmten Dosis folgende Prüfergebnisse ergeben:
- weniger als 100 %ige Überlebensrate,
- 100 %ige Überlebensrate, jedoch offensichtliche Vergiftungserscheinungen,
- 100 %ige Überlebensrate, keine offensichtlichen Vergiftungserscheinungen.
Bei den in den Punkten 3.2.1, 3.2.2 und 3.2.3 angegebenen Kriterien wird nur das endgültige Prüfergebnis angegeben. Die Dosis 2 000 mg/kg sollte in erster Linie verwendet werden, um Informationen über die toxischen Wirkungen von Stoffen mit geringer akuter Toxizität zu erhalten, die nicht aufgrund ihrer akuten Toxizität eingestuft wurden.
Die Festdosis-Methode erfordert in einigen Fällen eine Prüfung mit höheren oder niedrigeren Dosen, wenn nicht bereits mit der entsprechenden Dosis geprüft wurde; siehe auch die Bewertungstabelle der Prüfmethode B.1 bis in der Verordnung (EG) Nr. 440/2008, ABl. Nr. L 142 vom 31.05.2008 S. 1. (BGBl II 393/2008)
3.1.5.2. Der Expositionsbereich, in dem eine letale Wirkung zu erwarten ist, wird auf Grund des Auftretens oder Nichtauftretens stoffbedingter Mortalität, die nach der Methode der akuten toxischen Klasse ermittelt wird, festgelegt. Die anfängliche Prüfung erfolgt auf Grund einer der drei festgelegten Ausgangsdosen (25, 200 oder 2 000 mg/kg Körpergewicht).
Die Methode der akuten toxischen Klasse erfordert in einigen Fällen eine Prüfung mit höheren oder niedrigeren Dosen, wenn nicht bereits mit der entsprechenden Dosis geprüft wurde; siehe auch die Bewertungstabelle der Prüfmethode B.1 tris in der Verordnung (EG) Nr. 440/2008, ABl. Nr. L 142 vom 31.05.2008 S. 1. (BGBl II 393/2008)
3.2. Einstufungskriterien und Auswahl der Gefahrensymbole, Gefahrenbezeichnungen sowie der Bezeichnungen der besonderen Gefahren
3.2.1. Sehr giftig
Stoffe und Zubereitungen werden als „sehr giftig“ eingestuft und mit dem Gefahrensymbol „T+“ und der Gefahrenbezeichnung „sehr giftig“ gemäß den nachstehend genannten Kriterien gekennzeichnet.
Die R-Sätze werden nach den folgenden Kriterien ausgewählt:
R 28 Sehr giftig beim Verschlucken
Akute Toxizität
- LD50 oral, Ratte ≤ 25 mg/kg.
- Weniger als 100 %-ige Überlebensrate bei 5 mg/kg, oral, Ratte nach Fest-Dosis-Methode.
- hohe Mortalität im Dosisbereich von ≤ 25 mg/kg bei oraler Verabreichung an Ratten nach der Methode der akuten toxischen Klasse (zur Auslegung der Prüfergebnisse beachte man die Fließdiagramme in Anhang 2, Prüfmethode B.1 tris in der Verordnung (EG) Nr. 440/2008, ABl. Nr. L 142 vom 31.05.2008 S. 1. (BGBl II 393/2008)
R 27 Sehr giftig bei Berührung mit der Haut
Akute Toxizität
- LD50 dermal, Ratte oder Kaninchen ≤ 50 mg/kg.
R 26 Sehr giftig beim Einatmen
Akute Toxizität
- LC50 inhalativ, Ratte, für Aerosole oder Stäube: ≤ 0,25 mg/1/4 h
- LC50 inhalativ, Ratte, für Gase und Dämpfe: ≤ 0,5 mg/1/4 h
R 39 Ernste Gefahr irreversiblen Schadens
- Erhebliche Anhaltspunkte, dass irreversible Gesundheitsschäden anderer Art als die in Punkt 4 genannten durch eine einmalige Verabreichung über einen geeigneten Aufnahmeweg im allgemeinen im Bereich der obengenannten Dosen verursacht werden können.
Zur Angabe des Aufnahmeweges/der Art der Verabreichung ist eine der folgenden Kombinationen zu verwenden: R 39/26, R 39/27, R 39/28, R 39/26/27, R 39/26/28, R 39/27/28, R 39/26/27/28.
3.2.2. Giftig
Stoffe und Zubereitungen werden als „giftig“ eingestuft und mit dem Gefahrensymbol „T“ und der Gefahrenbezeichnung „giftig“ gemäß den nachstehend genannten Kriterien gekennzeichnet.
Die R-Sätze werden nach den folgenden Kriterien ausgewählt:
R 25 Giftig beim Verschlucken
Akute Toxizität
- LD50 oral, Ratte: 25 < LD50 ≤ 200 mg/kg.
- Kritische Dosis, oral, Ratte 5 mg/kg: 100 %-ige Überlebensrate, jedoch offensichtliche Vergiftungserscheinungen.
- hohe Mortalität im Dosisbereich von > 25 bis ≤ 200 mg/kg bei oraler Verabreichung an Ratten nach der Methode der akuten toxischen Klasse (zur Auslegung der Prüfergebnisse beachte man die Fließdiagramme in Anhang 2, Prüfmethode B.1 tris in der Verordnung (EG) Nr. 440/2008, ABl. Nr. L 142 vom 31.05.2008 S. 1. (BGBl II 393/2008)
R 24 Giftig bei Berührung mit der Haut
Akute Toxizität
- LD50 dermal, Ratte oder Kaninchen: 50 < LD50 ≤ 400 mg/kg.
R 23 Giftig beim Einatmen
Akute Toxizität
- LC50 inhalativ, Ratte, für Aerosole oder Stäube: 0,25 < LC50 ≤ 1 mg/ 1/4 h.
- LC50 inhalativ, Ratte, für Gase und Dämpfe: 0,5 < LC50 ≤ 2 mg/1/4 h.
R 39 Ernste Gefahr irreversiblen Schadens
- Erhebliche Anhaltspunkte, dass irreversible Gesundheitsschäden anderer Art als die in Punkt 4 genannten durch eine einmalige Verabreichung über einen geeigneten Aufnahmeweg im allgemeinen im Bereich der obengenannten Dosen verursacht werden können.
Zur Angabe des Aufnahmeweges/der Art der Verabreichung ist eine der folgenden Kombinationen zu verwenden: R 39/23, R 39/24, R 39/25, R 39/ 23/24, R 39/23/25, R 39/24/25, R 39/23/24/25.
R 48 Gefahr ernster Gesundheitsschäden bei längerer Exposition
- Schwerer Gesundheitsschaden (eindeutige funktionelle Störungen oder morphologische Veränderungen von toxikologischer Bedeutung) kann bei wiederholter oder längerer Exposition über einen geeigneten Aufnahmeweg verursacht werden.
Stoffe und Zubereitungen werden mindestens als „giftig“ eingestuft, wenn diese Schäden durch deutlich niedrigere Dosen (z.B. zehnmal niedriger) als die für R 48 in Punkt 3.2.3 genannten verursacht werden.
Zur Angabe des Aufnahmeweges/der Art der Verabreichung ist eine der folgenden Kombinationen zu verwenden: R 48/23, R 48/24, R 48/25, R 48/23/24, R 48/23/25, R 48/24/25, R 48/23/24/25.
3.2.3. Gesundheitsschädlich
Stoffe und Zubereitungen werden als „gesundheitsschädlich“ eingestuft und mit dem Gefahrensymbol „Xn“ und der Gefahrenbezeichnung „gesundheitsschädlich“ gemäß den nachstehend spezifizierten Kriterien gekennzeichnet. Die R-Sätze werden nach den folgenden Kriterien ausgewählt:
R 22 Gesundheitsschädlich beim Verschlucken
Akute Toxizität:
- LD50 oral, Ratte: 200 < LD50 ≤ 2000 mg/kg,
- kritische Dosis, oral, Ratte, 50 mg/kg: 100 %ige Überlebensrate, jedoch offensichtliche Vergiftungserscheinungen,
- weniger als 100 %ige Überlebensrate bei 500 mg/kg, oral, Ratte nach der Fest-Dosis-Methode. Bewertungstabelle für die Prüfmethode B.1 bis der Verordnung (EG) Nr. 440/2008, ABl. Nr. L 142 vom 31.05.2008 S. 1 anwenden, oder
- hohe Mortalität im Dosisbereich von > 200 bis ≤ 2 000 mg/kg bei oraler Verabreichung an Ratten nach der Methode der akuten toxischen Klasse (zur Auslegung der Prüfergebnisse beachte man die Fließdiagramme in Anhang 2, Prüfmethode B.1 tris in der Verordnung (EG) Nr. 440/2008, ABl. Nr. L 142 vom 31.05.2008 S. 1. (BGBl II 393/2008)
R 21 Gesundheitsschädlich bei Berührung mit der Haut
Akute Toxizität
- LD50 dermal, Ratte oder Kaninchen: 400 < LD50 ≤ 2 000 mg/kg.
R 20 Gesundheitsschädlich beim Einatmen
Akute Toxizität
LC50 inhalativ, Ratte, für Aerosole oder Stäube: 1 < LC50 ≤ 5 mg/1/4 h.
LC50 inhalativ, Ratte, für Gase und Dämpfe: 2 < LC50 ≤ 20 mg/1/4 h.
R 65 Gesundheitsschädlich: Kann beim Verschlucken Lungenschäden verursachen
Flüssige Stoffe und Zubereitungen, die auf Grund ihrer niedrigen Viskosität eine Aspirationsgefahr für den Menschen darstellen:
- Stoffe und Zubereitungen, die aliphatische, alizyklische und aromatische Kohlenwasserstoffe in einer Gesamtkonzentration von größer oder gleich 10 % enthalten und
- in einem ISO-Gefäß von 3 mm gemäß ÖNORM EN ISO 2431, ausgegeben am 1. Juli 1996, eine Fließzeit kleiner als 30 sec. haben, oder
- deren kinematische Viskosität bei 40º C weniger als 7 x 10-6 m2/sec. beträgt, ermittelt bei einer kapillarviskosimetrischen Messung gemäß ÖNORM EN ISO 3104, ausgegeben am 1. Mai 1997, in Verbindung mit ISO 3105, ausgegeben am 1. Dezember 1994, oder
- deren kinematische Viskosität bei 40º C weniger als 7 x 10-6 m2/sec. beträgt, ermittelt bei einer rotationsviskosimetrischen Messung gemäß ÖNORM EN ISO 3219, ausgegeben am 1. November 1994.
- Stoffe und Zubereitungen, für die die obenerwähnten Kriterien nicht anwendbar sind, auf Grund praktischer Erfahrungen beim Menschen.
R 68 Irreversibler Schaden möglich
- erhebliche Anhaltspunkte, dass irreversible Gesundheitsschäden anderer Art als die in Punkt 4 genannten durch eine einmalige Verabreichung über einen geeigneten Aufnahmeweg im allgemeinen im Bereich der obengenannten Dosen verursacht werden können.
Zur Angabe des Aufnahmeweges/Art der Verabreichung ist eine der folgenden Kombinationen anzuwenden: R 68/20, R 68/21, R 68/22, R 68/20/ 21, R 68/20/22, R 68/21/22, R 68/20/21/22.
R 48 Gefahr ernster Gesundheitsschäden bei längerer Exposition
- Schwerer Gesundheitsschaden (eindeutige funktionelle Störungen oder morphologische Veränderung von toxikologischer Bedeutung) kann bei wiederholter oder längerer Exposition über einen geeigneten Aufnahmeweg verursacht werden.
Stoffe und Zubereitungen werden mindestens als gesundheitsschädlich eingestuft, wenn diese Schäden durch Dosen in der Größenordnung von
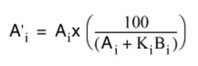
- oral, Ratte ≤ 50 mg/kg (Körpergewicht)/Tag,
- dermal, Ratte oder Kaninchen ≤ 100 mg/kg (Körpergewicht)/Tag,
- inhalativ, Ratte ≤ 0,25 mg/l, 6 h/Tag
beobachtet werden.
Diese Richtwerte können unmittelbar gelten, wenn schwere Schäden bei einer subchronischen (90 Tage) Toxizitätsstudie beobachtet wurden. Werden die Ergebnisse einer subakuten (28 Tage) Toxizitätsstudie bewertet, sind die Werte etwa um das Dreifache zu erhöhen. Liegt eine chronische (2 Jahre) Toxizitätsstudie vor, sollte eine fallweise Bewertung vorgenommen werden. Stehen Ergebnisse von Studien mit unterschiedlichen Untersuchungszeiträumen zur Verfügung, sollten in der Regel die Ergebnisse der Studie mit dem längsten Untersuchungszeitraum verwendet werden.
Zur Angabe des Aufnahmeweges/der Art der Verabreichung ist eine der folgenden Kombinationen zu verwenden: R 48/20, R 48/21, R 48/22, R 48/20/21, R 48/20/22, R 48/21/22, R 48/20/21/22.
3.2.3.1. Anmerkungen zu flüchtigen Stoffen
Für bestimmte Stoffe mit hoher Sättigungskonzentration des Dampfes können Nachweise für Wirkungen vorliegen, die zu Besorgnis Anlass geben. Solche Stoffe können nicht nach den in diesem Leitfaden für die Auswirkungen auf die Gesundheit (Punkt 3.2.3) oder nach den in Punkt 3.2.8 angegebenen Kriterien eingestuft werden. Liegen jedoch geeignete Nachweise dafür vor, dass solche Stoffe bei gebräuchlicher Handhabung und Verwendung eine Gefahr darstellen können, kann von Fall zu Fall eine entsprechende Einstufung in Anhang I der Richtlinie 67/548/EWG erforderlich sein.
3.2.4. Anmerkung zur Verwendung von R 48
Die Verwendung dieser Bezeichnung der besonderen Gefahren bezieht sich auf den besonderen Bereich biologischer Wirkungen, wie sie nachfolgend beschrieben werden. Bei der Anwendung dieser Bezeichnung der besonderen Gefahren schließt ein schwerer Gesundheitsschaden auch den Tod, eindeutige funktionelle Störungen oder morphologische Veränderungen von toxikologischer Bedeutung ein, insbesondere dann, wenn diese Veränderungen irreversibel sind. Darüber hinaus sind nicht nur spezifische schwere Veränderungen an einem einzigen Organ oder einem biologischen System, sondern auch weniger schwere allgemeine Veränderungen mehrerer Organe oder schwere Veränderungen des Allgemeinzustandes zu berücksichtigen.
Bei der Bewertung, ob es Anhaltspunkte für diese Art von Schäden gibt, sollten die folgenden Leitlinien herangezogen werden:
- Anhaltspunkte für die Verwendung von R 48:
- Stoffbedingte Todesfälle.
i) Bedeutende funktionelle Veränderungen im zentralen oder peripheren Nervensystem, einschließlich Seh-, Hör- und Geruchsvermögen, die durch klinische Beobachtungen oder andere geeignete Verfahren (z.B. elektrophysiologisch) festgestellt wurden.
ii)
Bedeutende funktionelle Veränderungen in anderen Organsystemen (z.B. Lunge).
- Jegliche übereinstimmende Veränderung klinischer biochemischer, hämatologischer oder Harnparameter, die auf eine schwere organische Funktionsstörung hinweisen. Hämatologische Störungen werden als besonders bedeutsam angesehen, wenn Anhaltspunkte dafür vorliegen, dass sie auf einer verminderten Produktion von Blutzellen des Knochenmarks beruhen.
- Schwere Organschäden, die nach mikroskopischer Begutachtung nach einer Autopsie festgestellt werden:
i)
Ausgedehnte oder schwere Nekrose, Fibrose oder Granulombildung in lebenswichtigen Organen mit Regenerationsvermögen (z.B. Leber).
ii)
Schwere morphologische Veränderungen, die möglicherweise reversibel sind, aber eindeutig auf eine ausgeprägte organische Funktionsstörung hinweisen (z.B. schwere Fetteinlagerungen in der Leber, schwere akute Tubulus-Nephrose in der Niere, ulcerative Gastritis).
iii)
Anhaltspunkte für ein merkliches Absterben von Zellen in lebenswichtigen Organen, die nicht zur Regeneration fähig sind (z.B. Fibrose des Herzmuskels, Absterben eines Nervs) oder in Stammzell-Populationen (z.B. Aplasie oder Hypoplasie des Knochenmarks).
Die oben dargestellten Anhaltspunkte werden in den meisten Fällen aus Tierexperimenten gewonnen. Werden Erfahrungen aus der Praxis herangezogen, sollte die Höhe der Exposition besonders beachtet werden.
- Anhaltspunkte, bei denen R 48 nicht angewandt werden sollte:
Die Verwendung dieser Bezeichnung der besonderen Gefahren ist auf „ernste Gesundheitsschäden bei längerer Exposition“ beschränkt. Sowohl beim Menschen als auch beim Tier können zahlreiche stoffbedingte Wirkungen beobachtet werden, die die Verwendung von R 48 nicht rechtfertigen. Diese Wirkungen sind aber von Bedeutung, wenn für einen chemischen Stoff die Dosis ohne Wirkung (NOEL) bestimmt werden soll. Im folgenden werden einige Beispiele für gut dokumentierte Veränderungen genannt, die, unabhängig von ihrer statistischen Bedeutung, in der Regel keine Einstufung mit R 48 rechtfertigen würden:
- Klinische Beobachtungen oder Veränderungen der Gewichtszunahme, Futter- oder Wasseraufnahme, die zwar toxikologisch bedeutsam sein können, jedoch als solche nicht auf „ernste Schäden“ hindeuten.
- Geringfügige Veränderungen klinisch-biochemischer, hämatologischer oder Harnparameter von zweifelhafter oder geringer toxikologischer Bedeutung.
- Organgewichtsveränderungen ohne Anzeichen einer organischen Funktionsstörung.
- Adaptive Reaktionen (z.B. Migration von Macrophagen in die Lunge, Leberhypertrophie und Enzyminduktion, hyperplastische Reaktionen auf Reizstoffe). Lokale Wirkungen auf der Haut nach wiederholter dermaler Verabreichung eines Stoffes sind angemessener mit R 38 „Reizt die Haut“ einzustufen.
- Ein artspezifischer Toxizitätsmechanismus wurde nachgewiesen (z.B. spezifische Stoffwechselwege).
3.2.5. Ätzend
Stoffe und Zubereitungen werden als ätzend eingestuft und mit dem Gefahrensymbol „C“ und der Gefahrenbezeichnung „ätzend“ gemäß den nachstehenden Kriterien gekennzeichnet:
- Ein Stoff oder eine Zubereitung gilt als ätzend, wenn beim Aufbringen auf die gesunde, intakte Haut von Versuchstieren nach der in der Verordnung (EG) Nr. 440/2008, ABl. Nr. L 142 vom 31.05.2008 S. 1 beschriebenen oder einer gleichwertigen Methode zur Prüfung der Hautreizung bei mindestens einem Versuchstier das Hautgewebe in seiner gesamten Dicke zerstört wird.
- Die Einstufung kann aufgrund der Ergebnisse validierter In-vitro-Tests, beispielsweise des in der Verordnung (EG) Nr. 440/2008, ABl. Nr. L 142 vom 31.05.2008 S. 1 erwähnten (B.40. Prüfung auf hautätzende Wirkungen: Prüfung des transkutanen elektrischen Widerstandes und Test mit einem Menschenhautmodell), erfolgen.
- Ein Stoff oder eine Zubereitung ist ferner als ätzend zu betrachten, wenn dieses Ergebnis vorausgesagt werden kann, beispielsweise bei starken sauren Reaktionen mit einem pH ≤ 2 oder bei starken alkalischen Reaktionen mit einem pH ≤ 11.5. Erfolgt die Einstufung jedoch aufgrund extremer pH-Werte, ist auch eine saure/alkalische Reserve zu berücksichtigen. Wird der Stoff oder die Zubereitung auf Grund der sauren/alkalischen Reserve für nicht ätzend gehalten, so ist diese Feststellung durch weitere Prüfungen zu bestätigen, wenn möglich durch eine validierte In-vitro-Prüfung. Stoffe und Zubereitungen sollten nicht ausschließlich aufgrund der sauren/alkalischen Reserve von der Einstufung als ätzend befreit werden.
(BGBl II 393/2008)
R-Sätze sind gemäß folgenden Kriterien zuzuordnen:
R 35 Verursacht schwere Verätzungen
- Wenn bei Aufbringen auf die gesunde, intakte Haut von Versuchstieren nach einer Einwirkungszeit von höchstens 3 Minuten die Zerstörung des Hautgewebes in seiner gesamten Dicke hervorgerufen wird oder wenn dieses Ergebnis vorausgesagt werden kann.
R 34 Verursacht Verätzungen
- Wenn bei Aufbringen auf die gesunde, intakte Haut von Versuchstieren nach einer Einwirkungszeit bis zu 4 Stunden die Zerstörung des Hautgewebes in seiner gesamten Dicke hervorgerufen wird oder wenn dieses Ergebnis vorausgesagt werden kann.
- Organische Hydroperoxide, ausser wenn gegenteilige Nachweise vorliegen.
Anmerkungen:
Beruht die Einstufung auf den Ergebnissen einer validierten In-vitro-Prüfung, so ist – je nach Fähigkeit der Prüfmethode, zwischen diesen zu unterscheiden – R 35 oder R 34 anzuwenden.
Beruht die Einstufung ausschließlich auf einem extremen pH-Wert, so ist R 35 anzuwenden.
3.2.6. Reizend
Stoffe und Zubereitungen werden als „reizend“ eingestuft und mit dem Gefahrensymbol „Xi“ und der Gefahrenbezeichnung „reizend“ gemäß den nachstehend genannten Kriterien gekennzeichnet.
3.2.6.1. Entzündung der Haut
Der folgende R-Satz ist gemäß den genannten Kriterien zuzuordnen:
R 38 Reizt die Haut
- Stoffe und Zubereitungen, die eine deutliche Entzündung der Haut hervorrufen, die nach einer Einwirkungszeit von bis zu 4 Stunden mindestens 24 Stunden anhält und nach der in der Verordnung (EG) Nr. 440/2008, ABl. Nr. L 142 vom 31.05.2008 S. 1 genannten Methode des Hautreizungtests am Kaninchen festgestellt wird.
(BGBl II 393/2008)
Eine deutliche Entzündung liegt dann vor,
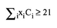
- wenn der Mittelwert der Ergebnisse aus Rötung und Schorfbildung oder Ödembildung auf alle Versuchstiere bezogen mindestens 2 beträgt,
- oder, falls der Test in der Verordnung (EG) Nr. 440/2008, ABl. Nr. L 142 vom 31.05.2008 S. 1 mit 3 Versuchstieren durchgeführt wurde, wenn das Ergebnis entweder für Rötung und Schorfbildung oder für Ödembildung bei mindestens 2 Versuchstieren einen Wert von 2 oder mehr (für jedes Tier einzeln berechnet) erreicht.
(BGBl II 393/2008)
In beiden Fällen sollen alle Ergebnisse zu jedem Ablesepunkt (nach 24, 48 und 72 Stunden) zur Berechnung der jeweiligen Mittelwerte herangezogen werden.
Eine deutliche Entzündung liegt auch dann vor, wenn die Entzündung bei mindestens zwei Versuchstieren am Ende der Beobachtungszeit noch vorhanden ist. Besondere Wirkungen wie z.B. Hyperplasie, Schuppenbildung, Verfärbung, Risse, Schorf und Haarausfall sollen berücksichtigt werden.
Relevante Daten könnten auch mit Tierversuchen über nichtakute Wirkungen zugänglich sein (siehe Bemerkungen zu R 48, Punkt 2 lit. d). Diese Wirkungen werden als deutlich betrachtet, wenn die festgestellten Wirkungen mit den oben beschriebenen vergleichbar sind.
- Stoffe und Zubereitungen, die nach praktischer Erfahrung beim Menschen sofort, bei längerer oder wiederholter Berührung zu deutlichen Entzündungen der Haut führen.
- Organische Peroxide, ausser wenn gegenteilige Nachweise vorliegen.
Paresthesie:
Paresthesie beim Menschen infolge von Hautkontakt mit Pyrethroid-Pestiziden wird nicht als Reizwirkung betrachtet, die eine Einstufung als reizend mit R 38 rechtfertigt. Bei Stoffen, die diese Wirkungen hervorrufen, ist jedoch der S-Satz S 24 anzuwenden.
3.2.6.2. Schädigung der Augen
Folgende R-Sätze sind gemäß den angegebenen Kriterien zuzuordnen:
R 36 Reizt die Augen
- Stoffe und Zubereitungen, die beim Einbringen in das Auge von Versuchstieren innerhalb von 72 Stunden nach der Exposition deutliche Augenschäden hervorrufen und die 24 Stunden oder länger anhalten.
Deutliche Augenschäden liegen vor, wenn bei dem in der Verordnung (EG) Nr. 440/2008, ABl. Nr. L 142 vom 31.05.2008 S. 1genannten Test einer der folgenden Mittelwerte erreicht wird:
- Hornhauttrübung größer oder gleich 2 aber kleiner als 3.
- Regenbogenhautentzündung größer oder gleich 1 aber nicht größer als 1,5.
- Bindehautrötung größer oder gleich 2,5.
- Bindehautschwellung (Chemosis) größer oder gleich 2
oder, falls der Test gemäß der Verordnung (EG) Nr. 440/2008, ABl. Nr. L 142 vom 31.05.2008 S. 1 mit 3 Versuchstieren durchgeführt wurde, wenn bei mindestens 2 Versuchstieren einer der obengenannten Werte erreicht wird, mit Ausnahme der Werte für Regenbogenhautentzündung, die größer oder gleich 1 aber kleiner als 2 sein müssen und Bindehautrötung, die größer oder gleich 2,5 sein müssen. (BGBl II 393/2008)
In beiden Fällen sollten alle Ergebnisse zu jedem Ablesezeitpunkt (nach 24, 48 und 72 Stunden) zur Berechnung der jeweiligen Mittelwerte herangezogen werden.
- Stoffe und Zubereitungen, die nach praktischer Erfahrung beim Menschen zu deutlichen Augenschäden führen.
- Organische Peroxide, ausser wenn gegenteilige Nachweise vorliegen.
R 41 Gefahr ernster Augenschäden
- Stoffe und Zubereitungen, die beim Einbringen in das Auge von Versuchstieren innerhalb von 72 Stunden nach der Exposition schwere Augenschäden hervorrufen und die 24 Stunden oder länger anhalten.
Schwere Augenschäden liegen vor, wenn bei dem in der Verordnung (EG) Nr. 440/2008, ABl. Nr. L 142 vom 31.05.2008 S. 1 genannten Test einer der folgenden Mittelwerte erreicht werden:
- Hornhauttrübung größer oder gleich 3.
- Regenbogenhautentzündung größer als 1,5
(BGBl II 393/2008)
oder falls der Test mit 3 Versuchstieren durchgeführt wurde, wenn bei mindestens 2 Versuchstieren einer der folgenden Werte erreicht wird:
- Hornhauttrübung größer oder gleich 3.
- Regenbogenhautentzündung größer oder gleich 2.
In beiden Fällen sollten alle Ergebnisse zu jedem Ablesezeitpunkt (nach 24, 48 und 72 Stunden) zur Berechnung der jeweiligen Mittelwerte herangezogen werden.
Augenschäden sind auch dann schwere Augenschäden, wenn sie am Ende der Beobachtungszeit noch vorhanden sind.
Eine schwere Schädigung der Augen liegt auch vor, wenn der Stoff oder die Zubereitung zu einer irreversiblen Verfärbung der Augen führt.
- Stoffe und Zubereitungen, die nach praktischer Erfahrung beim Menschen zu schweren Augenschäden führen.
Anmerkung:
Wird ein Stoff oder eine Zubereitung als „ätzend“ eingestuft und mit R 34 oder R 35 gekennzeichnet, so wird die Gefahr schwerer Augenschäden als implizit angesehen und R 41 in der Kennzeichnung nicht angegeben.
3.2.6.3. Reizung der Atemwege
Der folgende R-Satz wird gemäß den angegebenen Kriterien zugeordnet:
R 37 Reizt die Atmungsorgane
Stoffe und Zubereitungen, die zu deutlichen Reizungen der Atmungsorgane führen, auf der Grundlage von
- praktischen Erfahrungen beim Menschen oder
- positiven Ergebnissen aus geeigneten Tierversuchen
Anmerkungen zur Verwendung von R 37
Bei der Interpretation der praktischen Erfahrungen beim Menschen sollte unterschieden werden zwischen Wirkungen, die eine Einstufung mit R 48 (siehe Punkt 3.2.4) zur Folge haben, und solchen, die eine Einstufung mit R 37 erfordern. Die Befunde, die normalerweise zu einer Einstufung mit R 37 führen, sind reversibel und beschränken sich in der Regel auf die oberen Atemwege.
Positive Ergebnisse aus geeigneten Tierversuchen können Daten einschließen, die aus allgemeinen toxikologischen Untersuchungen, einschließlich histopathologischer Befunde über den Atemtrakt gewonnen wurden. Daten über experimentelle Bradypnoe können zur Beurteilung der Reizung der Atemwege ebenfalls herangezogen werden.
3.2.7. Sensibilisierend
3.2.7.1. Sensibilisierung durch Einatmen
Stoffe und Zubereitungen werden als „sensibilisierend“ eingestuft und mit dem Gefahrensymbol „Xn“, der Gefahrenbezeichnung „gesundheitsschädlich“ und dem R-Satz R 42 gemäß den folgenden Kriterien gekennzeichnet:
R 42 Sensibilisierung durch Einatmen möglich
- Auf Grund von Nachweisen, dass der Stoff oder die Zubereitung spezifische Überempfindlichkeit am Atemtrakt hervorrufen kann.
- Auf Grund von positiven Ergebnissen aus geeigneten Tierversuchen.
- Wenn der Stoff ein Isocyanat ist, es sei denn, es liegt ein Nachweis darüber vor, dass der Stoff keine Überempfindlichkeit am Atemtrakt bewirkt.
Anmerkungen zur Anwendung von R 42
Erfahrung beim Menschen
Anhaltspunkte, dass ein Stoff oder eine Zubereitung eine Überempfindlichkeit am Atemtrakt hervorrufen kann, ergeben sich in der Regel aus den Erfahrungen beim Menschen. Die Überempfindlichkeit äussert sich dabei in der Regel als Asthma, jedoch werden auch andere Überempfindlichkeitsreaktionen wie Rhinitis und Alveolitis in Betracht gezogen. Hierbei handelt es sich jeweils klinisch um Erscheinungsbilder einer allergischen Reaktion. Der Nachweis eines immunologischen Mechanismus ist jedoch nicht erforderlich.
Bei der Bewertung der Erscheinungsformen, die sich durch die Exposition auf den Menschen ergeben, sind für die Einstufung nicht nur die Krankheitsfälle, sondern auch
- die Zahl der Exponierten und
- das Ausmaß der Exposition
zu berücksichtigen.
Die o.g. Anhaltspunkte können sein:
- Die Krankengeschichte und Befunde aus geeigneten Lungenfunktionsprüfungen im Zusammenhang mit der Exposition gegenüber diesem Stoff, gestützt durch andere Hinweise wie:
- Strukturelle Verwandtschaft zu Stoffen, die bekanntermaßen Atemwegsüberempfindlichkeit hervorrufen.
- Immunologische Untersuchungen in vivo (z.B. Prick-Test).
- Immunologische Untersuchungen in vitro (z.B. serologische Untersuchung).
- Untersuchungen, die spezifische, aber nicht immunologisch vermittelte Wirkmechanismen anzeigen, z.B. chronisch bedingte Entzündungen bei niedriger Belastung, pharmakologisch vermittelte Wirkungen.
- Positive bronchiale Provokationstests, durchgeführt mit dem Stoff entsprechend anerkannter Richtlinien zur Bestimmung spezifischer Überempfindlichkeitsreaktionen.
Die Krankengeschichte sollte auch das bisherige berufliche Umfeld des Patienten berücksichtigen, um eine Beziehung zwischen der Exposition gegenüber einem bestimmten Stoff oder einer bestimmten Zubereitung und der Entstehung einer Überempfindlichkeit der Atemwege herleiten zu können. In Betracht zu ziehen sind hierbei weitere ins Gewicht fallende Faktoren, sowohl aus dem häuslichen Bereich als auch am Arbeitsplatz, Beginn und Verlauf der Krankheit, Krankengeschichte der Familie und die Krankengeschichte des betroffenen Patienten. Die Krankengeschichte sollte auch Hinweise auf andere allergische Erkrankungen oder Atemwegsbeschwerden von Kindheit an, sowie Rauchgewohnheiten einschließen.
Positive bronchiale Provokationstests werden allein schon als ausreichend für eine Einstufung betrachtet. In der Praxis wird jedoch darüber hinaus eine Reihe von Ergebnissen aus vorgenannten Untersuchungen vorliegen.
Stoffe, die ausschließlich bei Personen mit überempfindlichem Atemwegsystem auf Grund ihrer Reizwirkung Asthmasymptome hervorrufen, sollten nicht mit dem R-Satz R 42 gekennzeichnet werden.
Ergebnisse aus Tierversuchen
Daten von Untersuchungen, die darauf hinweisen, dass ein Stoff oder eine Zubereitung durch Einatmen Sensibilisierungen beim Menschen hervorrufen kann, können folgendes einschließen:
- IgE-Messungen (z.B. an Mäusen).
- Spezifische Lungenreaktionen bei Meerschweinchen.
3.2.7.2. Sensibilisierung durch Hautkontakt
Stoffe und Zubereitungen werden als „sensibilisierend“ eingestuft und mit dem Gefahrensymbol „Xi“, der Gefahrenbezeichnung „reizend“ und dem R-Satz R 43 gemäß den folgenden Kriterien gekennzeichnet:
R 43 Sensibilisierung durch Hautkontakt möglich
- Wenn praktische Erfahrungen zeigen, dass der Stoff oder die Zubereitung eine Sensibilisierung bei einer erheblichen Anzahl von Personen durch Hautkontakt hervorrufen kann.
- Wenn positive Ergebnisse aus einem geeigneten Tierversuch vorliegen.
Anmerkungen zur Verwendung von R 43
Erfahrungen beim Menschen
Die folgenden Nachweise (praktischen Erfahrungen) werden als ausreichend betrachtet, um einen Stoff oder eine Zubereitung als „sensibilisierend“ mit R 43 einzustufen:
- Positive Ergebnisse eines geeigneten Epikutantests, in der Regel in mehr als einer dermatologischen Klinik, oder
- epidemiologische Untersuchungen, die zeigen, dass durch den Stoff oder die Zubereitung allergische Kontaktdermatitis verursacht werden kann. Mit besonderer Aufmerksamkeit ist eine Situation zu betrachten, bei der ein hoher Anteil der Exponierten charakteristische Symptome zeigt, selbst wenn die Zahl der Fälle insgesamt klein ist, oder
- positive Ergebnisse aus experimentellen Untersuchungen an Probanden (siehe auch Punkt 3.1.1).
Auch das Vorliegen nachstehender Informationen genügt für eine Einstufung eines Stoffes als „sensibilisierend“ mit R 43:
- Isoliert auftretende Fälle allergischer Kontaktdermatitis, oder
- epidemiologische Untersuchungen, bei denen Zufall, Verzerrungs- und Verwechslungsfaktoren nicht mit hinreichender Zuverlässigkeit vollständig ausgeschlossen worden sind,
und zwar nur dann, wenn diese durch nachstehende Daten ergänzt werden:
- Daten aus Tierversuchen, die nach gültigen Richtlinien durchgeführt wurden und deren Ergebnisse die im Abschnitt Tierversuche angegebenen Kriterien zur Einstufung zwar nicht erfüllen, sich jedoch diesen so weit nähern, dass sie als signifikant betrachtet werden können, oder
- nach anderen Standard-Verfahren erhaltene Daten, oder
- geeignete Struktur-Wirkungsbeziehungen.
Tierversuche
Positive Ergebnisse geeigneter Tierversuche sind:
Bei Anwendung der in der Verordnung (EG) Nr. 440/2008, ABl. Nr. L 142 vom 31.05.2008 S. 1 beschriebenen Adjuvans-Prüfmethode zur Sensibilisierung der Haut oder vergleichbarer Adjuvans-Tests liegt dann ein positives Ergebnis vor, wenn bei mindestens 30 % der Versuchstiere eine entsprechende Wirkung eintritt. Bei der Anwendung anderer Prüfmethoden liegt dann ein positives Ergebnis vor, wenn bei mindestens 15 % der Versuchstiere eine entsprechende Wirkung eintritt. (BGBl II 393/2008)
3.2.7.3. Immunologische Kontakturtikaria
Einige Stoffe oder Zubereitungen, die die Kriterien für eine Einstufung mit R 42 erfüllen, können außerdem immunologische Kontakturtikaria verursachen. In diesen Fällen ist die Information über Kontakturtikaria in die Kennzeichnung durch entsprechende S-Sätze, meist S 24 und S 36/37, und in das Sicherheitsdatenblatt aufzunehmen.
Bei Stoffen oder Zubereitungen, die Anzeichen von immunologischer Kontakturtikaria hervorrufen, jedoch den Kriterien für R 42 nicht genügen, ist zu prüfen, ob sie mit R 43 eingestuft werden sollten.
Zur Feststellung der Stoffe, die immunologische Kontakturtikaria hervorrufen, ist kein anerkanntes Tiermodell verfügbar. Die Einstufung erfolgt deshalb in der Regel auf Grund von Erfahrungen beim Menschen, die denen bei hautsensibilisierenden Stoffen (R 43) ähnlich sind.
3.2.8. Sonstige toxische Eigenschaften
Für die Stoffe und Zubereitungen, die entsprechend den Kriterien der Punkte 2.2.1 bis 3.2.7 und/oder den in Punkt 4 und 5 eingestuft worden sind, werden nach den folgenden Kriterien auf der Grundlage der bei der Zusammenstellung des Anhangs I der Richtlinie 67/548/EWG gesammelten Erfahrung zusätzliche Bezeichnungen der besonderen Gefahren ausgewählt.
R 29 Entwickelt bei Berührung mit Wasser giftige Gase
Für Stoffe und Zubereitungen, die bei Berührung mit Wasser oder feuchter Luft sehr giftige/giftige Gase in gefährlicher Menge freisetzen, z.B. Aluminiumphosphid, Phosphor(V)-sulfid.
R 31 Entwickelt bei Berührung mit Säure giftige Gase
Für Stoffe und Zubereitungen, die mit Säuren reagieren und giftige Gase in gefährlicher Menge freisetzen, z.B. Natriumhypochlorit, Bariumpolysulfid. Bei Stoffen, die von der Allgemeinheit benutzt werden, sollte vorzugsweise S 50 (Nicht mischen mit ... [vom Hersteller anzugeben]) verwendet werden.
R 32 Entwickelt bei Berührung mit Säure sehr giftige Gase
Für Stoffe und Zubereitungen, die mit Säuren reagieren und sehr giftige Gase in gefährlicher Menge freisetzen, z.B. Salze der Cyanwasserstoffsäure, Natriumazid. Bei Stoffen, die von der Allgemeinheit benutzt werden, sollte vorzugsweise S 50 (Nicht mischen mit ... [vom Hersteller anzugeben]) verwendet werden.
R 33 Gefahr kumulativer Wirkungen
Für Stoffe und Zubereitungen, die sich im menschlichen Körper anreichern können und zu Besorgnis Anlass geben, die aber nicht die Verwendung von R 48 rechtfertigt.
Erläuterungen zur Anwendung dieses R-Satzes sind für Stoffe in Punkt 4.2.3.3 und für Zubereitungen in § 23 Abs. 3 enthalten.
R 64 Kann Säuglinge über die Muttermilch schädigen
Für Stoffe und Zubereitungen, die von Frauen aufgenommen werden und die Laktation beeinträchtigen können oder die in solchen Mengen in der Muttermilch (einschließlich Stoffwechselprodukten) vorhanden sein können, dass sie die Gesundheit eines gestillten Säuglings besorgniserregend beeinträchtigen können.
Erläuterungen zur Verwendung dieses R-Satzes (und in einigen Fällen R 33) vgl. Punkt 4.2.3.3.
R 66 Wiederholter Kontakt kann zu spröder oder rissiger Haut führen
Für Stoffe und Zubereitungen, die die Haut austrocknen und
Schuppenbildung und Hautrisse fördern können, die jedoch den Kriterien für R 38 nicht entsprechen:
auf der Grundlage
- praktischer Beobachtungen nach gebräuchlicher Handhabung und Verwendung oder
- relevanter Nachweise betreffend ihrer erwartbaren Wirkungen auf die Haut.
Siehe auch Punkt 1.6 und 1.7.
R 67 Dämpfe können Schläfrigkeit und Benommenheit verursachen
Für flüchtige Stoffe und Zubereitungen, die nach Inhalation eindeutig Symptome einer Depression oder Funktionseinschränkung des Zentralnervensystems hervorrufen und die nicht auf Grund von akuter Inhalationstoxizität eingestuft sind (R 20, R 23, R 26, R 68/20, R 39/23 oder R 39/26).
Nachstehende Erkenntnisse können verwendet werden:
- Daten aus Tierstudien, die eindeutig auf eine Funktionseinschränkung des Zentralnervensystems schließen lassen; Lethargie, Koordinationsmangel (einschließlich des Verlustes des Gleichgewichtsreflexes) und Ataxie
entweder- bei Konzentrationszeiten/Expositionszeiten von 20 mg/l/4 Std. oder
- wenn das Verhältnis der Wirkungskonzentration (bei ≤ 4 Std.) zur Sättigungskonzentration des Dampfes bei 20 °C ≤ 1/10 beträgt.
- Praktische Erfahrungen am Menschen (z.B. Narkosen, Schläfrigkeit, verminderte Aufmerksamkeit, verminderte Reflexe, Koordinationsmangel, Schwindel) aus gut dokumentierten Berichten unter Expositionsbedingungen, die den oben für Tiere genannten vergleichbar sind.
Siehe auch Punkt 1.6 und 1.7.
Weitere R-Sätze siehe Punkt 2.2.6.
4. EINSTUFUNG AUF GRUND BESTIMMTER SPEZIFISCHER GESUNDHEITSSCHÄDEN
4.1. Einleitung
4.1.1. In diesem Kapitel sind Verfahren zur Einstufung von Stoffen, die möglicherweise die in diesem Kapitel erwähnten Wirkungen haben, festgelegt. Für Zubereitungen siehe Punkt 4.2.4.
4.1.2. Liegen einem Hersteller, Importeur oder Vertreiber (§ 27 ChemG 1996) Informationen vor, dass ein Stoff gemäß den in den Punkten 4.2.1, 4.2.2 oder 4.2.3 genannten Kriterien eingestuft und gekennzeichnet werden sollte, so hat er den Stoff auf der Grundlage einer Beurteilung durch eine fachkundige Person vorläufig gemäß diesen Kriterien zu kennzeichnen.
4.1.3. Der Hersteller, Vertreiber oder Importeur übermittelt dem Bundesminister für Land- und Forstwirtschaft, Umwelt und Wasserwirtschaft, unverzüglich Unterlagen, die alle wichtigen Informationen enthalten. Diese umfassen insbesondere alle bereits veröffentlichten oder noch unveröffentlichten, zur korrekten Einstufung des betreffenden Stoffes notwendigen Daten auf der Grundlage der Stoffeigenschaften, die gemäß den in § 3 Abs. 1 ChemG 1996 festgelegten Kategorien und den in diesem Anhang festgelegten Kriterien bestimmt werden. Die eingereichte Zusammenfassung sollte eine Bibliographie aller wichtigen Literaturangaben sowie jegliche einschlägigen unveröffentlichten Daten enthalten.
4.1.4. Darüber hinaus hat der Hersteller, Importeur oder Vertreiber, der über neue Daten verfügt, die für die Einstufung und Kennzeichnung eines Stoffes von Bedeutung sind, diese unverzüglich dem Bundesminister für Land- und Forstwirtschaft, Umwelt und Wasserwirtschaft zu übermitteln.
4.1.5. Um innerhalb der Gemeinschaft möglichst schnell eine einheitliche Einstufung nach dem Verfahren in Artikel 28 der Richtlinie 67/548/EWG zu gewährleisten, hat der Bundesminister für Land- und Forstwirtschaft, Umwelt und Wasserwirtschaft, sofern dieser über die relevanten Informationen – des Herstellers oder von anderer Seite – verfügt, die die Einstufung eines Stoffes in eine dieser Kategorien rechtfertigen, diese Informationen zusammen mit Vorschlägen zur Einstufung und Kennzeichnung unverzüglich der Kommission vorzulegen.
Sofern der Bundesminister für Land- und Forstwirtschaft, Umwelt und Wasserwirtschaft Grund zu der Annahme hat, dass die vorgeschlagene Einstufung und Kennzeichnung hinsichtlich krebserzeugender, erbgutverändernder oder fortpflanzungsgefährdender Wirkungen unzutreffend ist, so hat er die Kommission darüber zu informieren.
4.2. Einstufungskriterien und Auswahl der Gefahrenbezeichnungen sowie der Bezeichnungen besonderer Gefahren
4.2.1. Krebserzeugende Stoffe
Zur Einstufung und Kennzeichnung werden diese Stoffe beim derzeitigen Stand der Kenntnisse in drei Kategorien eingeteilt:
Kategorie 1
Stoffe, die beim Menschen bekanntermaßen krebserzeugend wirken. Es sind hinreichende Anhaltspunkte für einen Kausalzusammenhang zwischen der Exposition eines Menschen gegenüber dem Stoff und der Entstehung von Krebs vorhanden.
Kategorie 2
Stoffe, die als krebserzeugend für den Menschen angesehen werden sollten. Es bestehen hinreichende Anhaltspunkte zu der begründeten Annahme, dass die Exposition eines Menschen gegenüber dem Stoff Krebs erzeugen kann. Diese Annahme beruht im allgemeinen auf folgendem:
- Geeignete Langzeit-Tierversuche.
- Sonstige relevante Informationen.
Kategorie 3
Stoffe, die wegen möglicher krebserregender Wirkung beim Menschen Anlass zur Besorgnis geben, über die jedoch genügend Informationen für eine befriedigende Beurteilung vorliegen. Aus geeigneten Tierversuchen liegen einige Anhaltspunkte vor, die jedoch nicht ausreichen, um einen Stoff in Kategorie 2 aufzunehmen.
4.2.1.1. Es gelten die folgenden Gefahrensymbole und R-Sätze:
Kategorie 1 und 2:
Als krebserzeugend der Kategorie 1 und 2 eingestuften Stoffen wird das Gefahrensymbol „T“ und folgender R-Satz zugeordnet:
R 45 Kann Krebs erzeugen
Für Stoffe und Zubereitungen, bei denen nur dann die Gefahr einer krebserzeugenden Wirkung besteht, wenn sie eingeatmet werden, z.B. als Staub, Dampf oder Rauch (andere Aufnahmewege z.B. Verschlucken oder Berührung mit der Haut stellen keine Krebsgefahr dar), ist das Symbol „T“ und der folgende R-Satz zu verwenden:
R 49 Kann Krebs erzeugen beim Einatmen
Kategorie 3:
Stoffen, die als krebserzeugend der Kategorie 3 eingestuft sind, wird das Gefahrensymbol „Xn“ und folgender R-Satz zugeordnet:
R 40 Verdacht auf krebserzeugende Wirkung
4.2.1.2. Anmerkungen zur Kategorisierung krebserzeugender Stoffe
Die Aufnahme eines Stoffes in Kategorie 1 erfolgt auf Grund epidemiologischer Daten; die Aufnahme in die Kategorien 2 und 3 beruht vor allem auf Tierversuchen.
Für die Einstufung als krebserzeugender Stoff der Kategorie 2 sollten entweder positive Ergebnisse für zwei Tierarten oder ein eindeutig positiver Nachweis für eine Tierart und unterstützende Hinweise, wie Genotoxizitätsdaten, Stoffwechsel- oder biochemische Untersuchungen, Auslösung gutartiger Tumoren, Strukturbeziehung zu anderen bekannten krebserzeugenden Stoffen oder Daten aus epidemiologischen Untersuchungen, die einen Zusammenhang nahelegen, vorliegen.
Kategorie 3 umfasst derzeit zwei Untergruppen:
- Stoffe, die gut untersucht sind, für die jedoch der Nachweis einer tumorauslösenden Wirkung nicht ausreicht, um sie in Kategorie 2 einzustufen. Von zusätzlichen Versuchen werden keine weiteren für die Einstufung relevanten Informationen erwartet.
- Stoffe, die unzureichend untersucht sind. Die vorhandenen Daten sind unzureichend, sie geben jedoch Anlass zu Besorgnis für den Menschen. Diese Einstufung ist vorläufig. Zur endgültigen Entscheidung sind weitere Untersuchungen erforderlich.
Zur Unterscheidung zwischen den Kategorien 2 und 3 sind die nachfolgend genannten Argumente wichtig, die die Bedeutung der experimentellen Tumorauslösung im Hinblick einer möglichen Exposition des Menschen verringern. In den meisten Fällen würden diese Argumente, vor allem kombiniert, zu einer Einstufung in Kategorie 3 führen, auch wenn bei Tieren Tumore ausgelöst wurden:
- Krebserzeugende Wirkungen nur bei sehr hohen Dosen, die die „maximal verträgliche Dosis“ überschreiten. Die maximal verträgliche Dosis ist gekennzeichnet durch toxische Wirkungen, die zwar noch nicht die Lebenserwartung verringern, aber mit physischen Veränderungen wie z.B. einer etwa 10 %-igen Verringerung der Gewichtszunahme einhergehen.
- Auftreten von Tumoren, besonders bei hohen Dosen, nur in besonderen Organen bestimmter Spezies, die bekanntermaßen zu einer hohen spontanen Tumorbildung neigen.
- Auftreten von Tumoren nur am Applikationsort in sehr empfindlichen Testsystemen (z.B. i.p. oder s.c. Verabreichung bestimmter lokal wirksamer Verbindungen), wenn das jeweilige Zielorgan für den Menschen nicht relevant ist.
- Keine Genotoxizität in Kurzzeit-Versuchen in vivo und in vitro.
- Vorhandensein eines sekundären Wirkungsmechanismus aus dem ein Schwellenwert abgeleitet werden kann (z.B. hormonelle Wirkungen auf Zielorgane oder auf physiologische Regulationsmechanismen, chronische Stimulation von Zellwachstum).
- Bestehen eines artspezifischen Mechanismus der Tumorbildung (z.B. über spezifische Stoffwechselwege), der für den Menschen nicht von Bedeutung ist.
Zur Unterscheidung, ob ein Stoff in die Kategorie 3 einzustufen ist oder nicht, sind jene nachstehend angeführten Argumente bedeutsam, die auf das Nichtbestehen einer Gefahr für den Menschen hinweisen:
- Ein Stoff sollte in keine der Kategorien eingestuft werden, wenn der Mechanismus der Tumorbildung im Versuch eindeutig ermittelt wurde und nachgewiesen ist, dass er nicht auf den Menschen extrapoliert werden kann.
- Liegen lediglich Daten über Lebertumoren bei bestimmten besonders empfindlichen Mäusestämmen ohne sonstige zusätzliche Anhaltspunkte vor, wird der Stoff in keine der Kategorien eingestuft.
- Fälle in denen lediglich Tumordaten über Neoplasien an Lokalisationen und bei Stämmen vorliegen, bei denen sie bekanntermaßen mit einer hohen Spontanrate auftreten, sollten besondere Beachtung finden.
4.2.2. Erbgutverändernde Stoffe
4.2.2.1. Zur Einstufung und Kennzeichnung werden diese Stoffe beim derzeitigen Stand der Kenntnisse in drei Kategorien unterteilt:
Kategorie 1
Stoffe, die auf den Menschen bekanntermaßen erbgutverändernd wirken.
Es sind hinreichende Anhaltspunkte für einen Kausalzusammenhang zwischen der Exposition eines Menschen gegenüber dem Stoff und vererbbaren Schäden vorhanden.
Kategorie 2
Stoffe, die als erbgutverändernd für den Menschen angesehen werden sollten.
Es bestehen hinreichende Anhaltspunkte zu der begründeten Annahme, dass die Exposition eines Menschen gegenüber dem Stoff zu vererbbaren Schäden führen kann. Diese Annahme beruht im allgemeinen auf folgendem:
- Geeigneten Tierversuchen.
- Sonstigen relevanten Informationen.
Kategorie 3
Stoffe, die wegen möglicher erbgutverändernder Wirkung auf den Menschen zu Besorgnis Anlass geben. Aus geeigneten Mutagenitätsversuchen liegen einige Anhaltspunkte vor, die jedoch nicht ausreichen, um den Stoff in Kategorie 2 aufzunehmen.
4.2.2.2. Es gelten folgende Gefahrensymbole und R-Sätze:
Kategorie 1 und 2:
Stoffen, die als erbgutverändernd der Kategorie 1 oder 2 eingestuft sind, wird das Gefahrensymbol „T“ und folgender R-Satz zugeordnet:
R 46 Kann vererbbare Schäden verursachen
Kategorie 3
Stoffen, die als erbgutverändernd der Kategorie 3 eingestuft sind, wird das Gefahrensymbol „Xn“ und folgender R-Satz zugeordnet:
R 68 Irreversibler Schaden möglich
4.2.2.3. Anmerkungen zur Kategorisierung erbgutverändernder Stoffe
Begriffsbestimmungen:
Eine Mutation ist eine dauerhafte Veränderung der Menge oder Struktur des Erbmaterials eines Organismus, die sich in einer Veränderung der phänotypischen Eigenschaften des Organismus niederschlägt. Die Veränderung kann ein einzelnes Gen, einen Genblock oder ein ganzes Chromosom betreffen. Veränderungen einzelner Gene können die Folge von Wirkungen auf einzelne DNA-Basen (Punktmutationen) oder großer Veränderungen, einschließlich Deletionen innerhalb des Gens sein.
Wirkungen auf ganze Chromosome können strukturelle oder numerische Veränderungen umfassen. Eine Mutation in den Keimzellen der Fortpflanzungsorgane kann auf die Nachkommen übergehen. Ein erbgutverändernder Stoff ist ein Stoff, der zu einem vermehrten Auftreten von Mutationen führt.
Insbesondere werden die Stoffe als erbgutverändernd eingestuft, die vererbbare Schäden verursachen können. Allerdings werden die Ergebnisse, die zur Einstufung chemischer Stoffe in Kategorie 3 „Auslösung genetisch relevanter Vorgänge in Körperzellen“ führen, in der Regel auch als Warnhinweis auf mögliche krebserzeugende Wirkung angesehen.
Die Entwicklung von Methoden zur Prüfung erbgutverändernder Stoffe ist ein fortlaufender Prozess. Für viele neue Tests gibt es noch keine standardisierten Protokolle und Bewertungskriterien. Bei der Bewertung von Daten über erbgutverändernde Wirkungen muss die Qualität der Testdurchführung und die Aussagefähigkeit des Testverfahrens berücksichtigt werden.
Kategorie 1
Um eine Verbindung in Kategorie 1 aufzunehmen, sind hinreichende Anhaltspunkte zu epidemiologischen Untersuchungen über Mutationen beim Menschen erforderlich. Beispiele für solche Stoffe sind bisher nicht bekannt. Es wird eingeräumt, dass es außerordentlich schwierig ist, aus Untersuchungen zur Häufigkeit von Mutationen in menschlichen Populationen bzw. zur Erhöhung der Häufigkeit verlässliche Informationen zu erhalten.
Kategorie 2
Zur Einstufung eines Stoffes in Kategorie 2 sind positive Ergebnisse aus Untersuchungen, die folgendes nachweisen können, erforderlich:
- erbgutverändernde Wirkungen oder
- andere zellulare Wechselwirkungen, die für eine Erbgutveränderung relevant sind, in Keimzellen von Säugern in vivo, oder
- erbgutverändernde Wirkungen in Somazellen von Säugern in vivo zusammen mit hinreichenden Anhaltspunkten, dass der Stoff oder ein relevanter Metabolit die Keimzellen erreicht.
Zur Einstufung in Kategorie 2 sind derzeit folgende Verfahren geeignet:
2 a) | Mutagenitätstest an Keimzellen in vivo:
Diese Testsysteme zeigen auf, ob die Nachkommenschaft betroffen ist oder ob ein Defekt im sich entwickelnden Embryo auftritt. |
2 b) | In-vivo-Untersuchungen, die relevante Wechselwirkungen mit Keimzellen, in der Regel DNA, aufzeigen:
Diese Untersuchungen liefern mehr oder weniger indirekte Anhaltspunkte. Positive Ergebnisse bei diesen Untersuchungen werden in der Regel durch positive Ergebnisse aus in-vivo-Mutagenitätsuntersuchungen an Somazellen von Säugern oder dem Menschen (vgl. auch Kapitel 3, bevorzugte Verfahren wie unter 3a) unterstützt. |
2 c) | In-vivo-Untersuchungen, die die erbgutverändernden Wirkungen auf Somazellen von Säugern (vgl. 3 a)) zeigen, in Verbindung mit toxikokinetischen oder anderen Verfahren, mit denen gezeigt werden kann, dass der Stoff oder ein relevanter Metabolit die Keimzellen erreicht. |
Kategorie 3
Um einen Stoff in Kategorie 3 aufzunehmen, sind positive Ergebnisse aus Untersuchungen erforderlich, mit denen
- erbgutverändernde Wirkungen oder
- andere zellulare Wechselwirkungen, die für die Mutagenität von Bedeutung sind, in Somazellen von Säugern in vivo nachgewiesen werden können. Insbesondere letztere werden in der Regel durch positive Ergebnisse aus in-vitro-Mutagenitätsuntersuchungen gestützt.
Für den Nachweis von Wirkungen in vivo sind zur Zeit folgende Verfahren geeignet:
3 a) | Mutagenitätsuntersuchungen in vivo:
|
3 b) | Untersuchungen zu DNA-Wechselwirkungen in vivo:
|
Stoffe, die nur bei einem oder mehreren in-vitro-Mutagenitätsversuchen positive Ergebnisse liefern, sollten in der Regel nicht eingestuft werden. Allerdings sind weitere Untersuchungen durch in-vivo-Untersuchungen unbedingt geboten. In Ausnahmefällen, z.B. bei einer Verbindung, die in mehreren in-vitro-Untersuchungen deutliche Effekte liefert, für die keine relevanten in-vivo-Daten zur Verfügung stehen, und die Ähnlichkeiten mit bekannten mutagenen bzw. karzinogenen Stoffen aufweist, kann die Einstufung in Kategorie 3 in Erwägung gezogen werden.
4.2.3. Reproduktionstoxische (fortpflanzungsgefährdende) Stoffe
4.2.3.1. Zum Zweck der Einstufung und Kennzeichnung unter Berücksichtigung des derzeitigen Kenntnisstandes werden reproduktionstoxische Stoffe in drei Kategorien eingeteilt:
Kategorie 1
Stoffe, die beim Menschen die Fortpflanzungsfähigkeit (Fruchtbarkeit) bekanntermaßen beeinträchtigen
Es sind hinreichende Anhaltspunkte für einen Kausalzusammenhang zwischen der Exposition eines Menschen gegenüber dem Stoff und einer Beeinträchtigung der Fortpflanzungsfähigkeit vorhanden.
Stoffe, die beim Menschen bekanntermaßen fruchtschädigend (entwicklungsschädigend) wirken
Es sind hinreichende Anhaltspunkte für einen Kausalzusammenhang zwischen der Exposition einer schwangeren Frau gegenüber dem Stoff und schädlichen Auswirkungen auf die Entwicklung der direkten Nachkommenschaft vorhanden.
Kategorie 2
Stoffe, die als beeinträchtigend für die Fortpflanzungsfähigkeit (Fruchtbarkeit) des Menschen angesehen werden sollten
Es bestehen hinreichende Anhaltspunkte zu der begründeten Annahme, dass die Exposition eines Menschen gegenüber dem Stoff zu einer Beeinträchtigung der Fortpflanzungsfähigkeit führen kann. Diese Annahme beruht im allgemeinen auf folgendem:
- Eindeutige tierexperimentelle Nachweise einer Beeinträchtigung der Fortpflanzungsfähigkeit ohne Vorliegen anderer toxischer Wirkungen, oder Nachweis einer Beeinträchtigung der Fortpflanzungsfähigkeit bei etwa denselben Dosierungen, bei denen andere toxische Effekte auftreten, wobei jedoch die beobachtete fruchtbarkeitsbeeinträchtigende Wirkung nicht sekundäre unspezifische Folge der anderen toxischen Effekte ist.
- Sonstige relevante Informationen.
Stoffe, die als fruchtschädigend (entwicklungsschädigend) für den Menschen angesehen werden sollten
Es bestehen hinreichende Anhaltspunkte zu der begründeten Annahme, dass die Exposition einer schwangeren Frau gegenüber dem Stoff zu schädlichen Auswirkungen auf die Entwicklung der Nachkommenschaft führen kann. Diese Annahme beruht im allgemeinen auf folgendem:
- Eindeutige Nachweise aus Tierversuchen, in denen eine fruchtschädigende Wirkung ohne Anzeichen ausgeprägter maternaler Toxizität beobachtet wurde, oder fruchtschädigende Wirkungen in einem Dosisbereich mit maternal toxischen Effekten, wobei jedoch die fruchtschädigende Wirkung nicht sekundäre Folge der maternalen Toxizität ist.
- Sonstige relevante Informationen.
Kategorie 3
Stoffe, die wegen möglicher Beeinträchtigung der Fortpflanzungsfähigkeit (Fruchtbarkeit) des Menschen zu Besorgnis Anlass geben
Diese Annahme beruht im allgemeinen auf folgendem:
- Ergebnisse aus geeigneten Tierversuchen, die hinreichende Anhaltspunkte für den starken Verdacht auf eine Beeinträchtigung der Fortpflanzungsfähigkeit in einem Dosisbereich ohne Vorliegen anderer toxischer Wirkungen liefern, oder entsprechende Hinweise auf eine Beeinträchtigung der Fortpflanzungsfähigkeit in einem Dosisbereich, in dem andere toxische Effekte auftreten, wobei jedoch die beobachtete Beeinträchtigung der Fortpflanzungsfähigkeit nicht sekundäre unspezifische Folge der anderen toxischen Wirkungen ist und der Nachweis der Befunde für eine Einstufung des Stoffes in Kategorie 2 nicht ausreicht.
- Sonstige relevante Informationen.
Stoffe, die wegen möglicher fruchtschädigender (entwicklungsschädigender) Wirkungen beim Menschen zu Besorgnis Anlass geben
Diese Annahme beruht im allgemeinen auf folgendem:
- Ergebnisse aus geeigneten Tierversuchen, die hinreichende Anhaltspunkte für einen starken Verdacht auf eine fruchtschädigende Wirkung ohne ausgeprägte maternale Toxizität liefern, bzw. die solche Anhaltspunkte in maternal toxischen Dosisbereichen liefern, wobei jedoch die beobachtete fruchtschädigende Wirkung nicht sekundäre Folge der maternalen Toxizität ist; und der Nachweis der Befunde für eine Einstufung des Stoffes in Kategorie 2 nicht ausreicht.
- Sonstige relevante Informationen.
4.2.3.2. Es gelten die folgenden Gefahrensymbole und R-Sätze:
Kategorie 1:
Stoffe, die beim Menschen die Fortpflanzungsfähigkeit (Fruchtbarkeit) bekanntermaßen beeinträchtigen.
Stoffen, die als reproduktionstoxisch (fortpflanzungsgefährdend) der Kategorie 1 eingestuft sind, wird das Symbol „T“ und folgender R-Satz zugeordnet:
R 60 Kann die Fortpflanzungsfähigkeit beeinträchtigen
Stoffe, die beim Menschen bekanntermaßen fruchtschädigend (entwicklungsschädigend) wirken.
Stoffen, die als reproduktionstoxisch (fortpflanzungsgefährdend) der Kategorie 1 eingestuft sind, wird das Gefahrensymbol „T“ und folgender R-Satz zugeordnet:
R 61 Kann das Kind im Mutterleib schädigen
Kategorie 2:
Stoffe, die als beeinträchtigend für die Fortpflanzungsfähigkeit (Fruchtbarkeit) des Menschen angesehen werden sollten.
Stoffen, die als reproduktionstoxisch (fortpflanzungsgefährdend) der Kategorie 2 betrachtet werden sollten, wird das Gefahrensymbol „T“ und folgender R-Satz zugeordnet:
R 60 Kann die Fortpflanzungsfähigkeit beeinträchtigen
Stoffe, die als fruchtschädigend (entwicklungsschädigend) für den Menschen angesehen werden sollten.
Stoffen, die als reproduktionstoxisch (fortpflanzungsgefährdend) der Kategorie 2 betrachtet werden sollten, wird das Gefahrensymbol „T“ und folgender R-Satz zugeordnet:
R 61 Kann das Kind im Mutterleib schädigen
Kategorie 3:
Stoffe, die wegen möglicher Beeinträchtigung der Fortpflanzungsfähigkeit (Fruchtbarkeit) des Menschen zu Besorgnis Anlass geben.
Stoffen, die als reproduktionstoxisch (fortpflanzungsgefährdend) der Kategorie 3 zu betrachten sind, wird das Gefahrensymbol „Xn“ und folgender R-Satz zugeordnet:
R 62 Kann möglicherweise die Fortpflanzungsfähigkeit beeinträchtigen
Stoffe, die wegen möglicher fruchtschädigender (entwicklungsschädigender) Wirkungen beim Menschen zu Besorgnis Anlass geben.
Stoffen, die als reproduktionstoxisch (fortpflanzungsgefährdend) der Kategorie 3 eingestuft sind, wird das Gefahrensymbol „Xn“ und folgender R-Satz zugeordnet:
R 63 Kann das Kind im Mutterleib möglicherweise schädigen
4.2.3.3. Anmerkungen zur Kategorisierung reproduktionstoxischer (fortpflanzungsgefährdender) Stoffe
Der Begriff „Reproduktionstoxizität“ umfasst sowohl die Beeinträchtigung der männlichen und weiblichen Fortpflanzungsfähigkeit als auch die vorgeburtliche Verursachung von nicht durch Vererbung verursachten Schädigungen der Nachkommenschaft. Somit lassen sich die beiden folgenden Aspekte unterscheiden: 1) Beeinträchtigung der weiblichen und männlichen Fruchtbarkeit und 2) Entwicklungsschäden.
- Die Beeinträchtigung der weiblichen und männlichen Fortpflanzungsfähigkeit beinhaltet nachteilige Auswirkungen auf die Libido, das Sexualverhalten, alle Aspekte der Spermatogenese oder Oogenese, auf den Hormonhaushalt oder auf physiologische Reaktionen, die im Zusammenhang mit der Befruchtungsfähigkeit, der Befruchtung selbst oder der Entwicklung der befruchteten Eizelle bis zur Einnistung im Uterus stehen.
- Der Begriff „Entwicklungsschäden“ wird im weitesten Sinne verstanden und schließt dabei alle schädlichen Wirkungen auf die Entwicklung der Nachkommenschaft ein, die während der Schwangerschaft verursacht werden und sich prä- oder postnatal manifestieren. Zu diesen entwicklungs- oder fruchtschädigenden Wirkungen gehören: embryo- oder fetotoxische Wirkungen wie geringes Körpergewicht, Wachstums- und Entwicklungsstörungen und Organschäden, ferner letale Effekte und Aborte, Missbildungen (Teratogenität), funktionelle Schädigungen, per- und postnatale Schäden und die Beeinträchtigung der postnatalen geistigen und physischen Entwicklung bis zum Abschluss der pubertären Entwicklung.
Die Einstufung von Stoffen als reproduktionstoxisch soll für solche Stoffe erfolgen, die die charakteristische oder spezifische Eigenschaft besitzen, derartige toxische Wirkungen zu verursachen. Stoffe, bei denen solche Wirkungen nur als sekundäre und unspezifische Folge anderer toxischer Wirkungen auftreten, sollten nicht als reproduktionstoxisch eingestuft werden. Als besonders kritisch werden die Stoffe eingeschätzt, deren reproduktionstoxische Wirkung bereits in einem Dosisbereich auftritt, in dem keine anderen Anzeichen von Toxizität beobachtet werden.
Die Einstufung eines Stoffes in Kategorie 1 unter den Aspekten der Beeinträchtigung der Fortpflanzungsfähigkeit und/oder fruchtschädigenden Wirkung erfolgt auf der Grundlage von Erfahrungen am Menschen. Die Einstufung eines Stoffes in Kategorie 2 und 3 erfolgt in erster Linie auf der Grundlage von tierexperimentellen Daten. Daten aus in-vitro-Untersuchungen oder aus Untersuchungen an Hühnerkeimen haben in der Regel lediglich einen ergänzenden Hinweischarakter und können beim Fehlen von in-vivo-Daten nur im Ausnahmefall eine Einstufung begründen.
Wie bei bestimmten anderen Arten von toxischen Wirkungen wird auch bei den hier behandelten reproduktionstoxischen Stoffen davon ausgegangen, dass es eine Wirkungsschwelle gibt, unterhalb derer nachteilige Wirkungen nicht nachweisbar sind. Selbst wenn im Tierexperiment eindeutige Wirkungen nachgewiesen wurden, muss die Bedeutung dieser Befunde für den Menschen kritisch geprüft werden. Diesbezüglich zu berücksichtigende Aspekte sind die Verursachung reproduktionstoxischer Wirkungen ausschließlich bei hohen Dosierungen, deutliche toxikokinetische Unterschiede zwischen Tier und Mensch oder nicht geeignete Verabreichungswege. Aus diesen oder ähnlichen Gründen kann sich eine Einstufung in Kategorie 3 oder auch keine Einstufung ergeben.
In der Verordnung (EG) Nr. 440/2008, ABl. Nr. L 142 vom 31.05.2008 S. 1 wird ein Limit-Test für Stoffe mit geringer Toxizität beschrieben. Liefert eine Dosis von mindestens 1000 mg/kg (oral) keinen Hinweis auf reproduktionstoxische Wirkungen, werden Untersuchungen in anderen Dosisbereichen nicht unbedingt als erforderlich angesehen. Liegen Daten aus Untersuchungen vor, die mit höheren als der oben genannten Grenzdosis durchgeführt wurden, müssen diese zusammen mit anderen relevanten Daten bewertet werden. Im Regelfall wird davon ausgegangen, dass reproduktionstoxische Wirkungen, die nur bei Dosen oberhalb der genannten Grenzdosis beobachtet wurden, nicht notwendigerweise zu einer Einstufung des Stoffes als reproduktionstoxisch führen. (BGBl II 393/2008)
BEEINTRÄCHTIGUNG DER FORTPFLANZUNGSFÄHIGKEIT (FRUCHTBARKEIT)
Zur Einstufung eines Stoffes in Kategorie 2 unter dem Aspekt der Beeinträchtigung der Fortpflanzungsfähigkeit sollte in der Regel ein eindeutiger Nachweis der diesbezüglichen Wirkung in einer Tierart in Verbindung mit zusätzlichen, im folgenden genannten Hinweisen vorliegen: unterstützende Daten zum Wirkungsmechanismus oder Wirkungsort, oder eine chemische Verwandtschaft zu anderen bekannten die Fruchtbarkeit beeinträchtigenden Stoffen, oder sonstige diesbezügliche Erfahrungen am Menschen, die die Schlussfolgerung erlauben, dass solche Wirkungen mit einer gewissen Wahrscheinlichkeit beim Menschen erwartet werden können. Liegen Untersuchungen lediglich an einer Tierart ohne unterstützende Hinweise vor, kann eine Einstufung in Kategorie 3 gerechtfertigt sein.
Da eine Beeinträchtigung der Fortpflanzungsfähigkeit als sekundäre, unspezifische Folge einer ausgeprägten allgemeinen Toxizität oder infolge einer starken Entkräftung der Versuchstiere auftreten kann, sollte eine Einstufung in Kategorie 2 nur vorgenommen werden, wenn eine gewisse Spezifität der Wirkung auf das Reproduktionssystem belegt ist. Wenn die Beeinträchtigung der Fortpflanzungsfähigkeit auf einer Störung des Paarungsverhaltens beruht, sind für die Einstufung in Kategorie 2 in der Regel Kenntnisse über den zugrundeliegenden Wirkungsmechanismus erforderlich, um beurteilen zu können, ob der jeweilige primäre toxische Effekt (z.B. eine toxisch bedingte Änderung des Hormonspiegels) möglicherweise auch beim Menschen auftreten kann.
ENTWICKLUNGSSCHÄDEN (fruchtschädigende Wirkung)
Zur Einstufung eines Stoffes in Kategorie 2 unter dem Aspekt der fruchtschädigenden Wirkung sollte ein eindeutiger Nachweis der diesbezüglichen Wirkung in valide durchgeführten Untersuchungen mit einer oder mehreren Tierarten vorliegen. Da eine fruchtschädigende Wirkung infolge maternaler Toxizität, verminderter Futter- oder Wasseraufnahme, Stress oder mangelnder Fürsorge der Muttertiere, spezifischen Nahrungsmangels, mangelhafter Tierhaltung, zwischenzeitlicher Injektionen und anderer Einflüsse auftreten kann, ist es für die Beurteilung der experimentellen Befunde von wesentlicher Bedeutung, dass die Untersuchungen valide durchgeführt werden und die fruchtschädigende Wirkung in einem Dosisbereich ohne ausgeprägte maternale Toxizität auftritt. Der Verabreichungsweg einer Prüfsubstanz ist ebenfalls von Bedeutung. So kann die intraperitoneale Injektion eines reizenden Stoffes zu einer lokal bedingten Schädigung des Uterus und der Feten führen. Die Ergebnisse solcher Studien müssen kritisch bewertet werden und führen als isolierte Befunde in der Regel nicht zu einer Einstufung.
Die Einstufungskriterien für Kategorie 3 unterscheiden sich nicht grundsätzlich von denen für die Kategorie 2. Die Einstufung in Kategorie 3 kann jedoch dann gerechtfertigt sein, wenn die Untersuchung methodische Mängel aufweist, so dass eine Bewertung der Befunde nur mit deutlichen Einschränkungen möglich ist, oder wenn die Möglichkeit nicht ausgeschlossen werden kann, dass die fruchtschädigende Wirkung der Folge unspezifischer Einflüsse wie z.B. allgemeiner Toxizität ist.
In der Regel erfolgt eine Einstufung in Kategorie 3 oder keine Einstufung dann, wenn als einzige Wirkungen geringfügige Änderungen der Inzidenz spontaner Defekte, geringfügige als Variationen gewertete Skelettveränderungen oder geringfügige Einflüsse auf die postnatal untersuchte Entwicklung der Nachkommen festgestellt werden.
Wirkungen während der Stillzeit
Stoffe, die als fortpflanzungsgefährdend eingestuft wurden und deren Wirkungen auch im Zusammenhang mit dem Stillen zu Besorgnis Anlass geben, sollten zusätzlich mit R 64 gekennzeichnet werden (vgl. Kriterien in Punkt 3.2.8).
Toxische Wirkungen auf die Nachkommen die ausschließlich nach Aufnahme über die Muttermilch auftreten, oder toxische Wirkungen, die sich aus direkter Exposition der Kinder ergeben, führen nicht zur Einstufung als „fortpflanzungsgefährdend“, es sei denn, diese Wirkungen äußern sich in einer Beeinträchtigung der Entwicklung der Nachkommen.
Stoffe, die nicht als fortpflanzungsgefährdend eingestuft wurden, aber auf Grund ihrer schädlichen Wirkungen bei Aufnahme durch den Säugling während der Stillzeit zur Besorgnis Anlass geben, werden mit R 64 gekennzeichnet (vgl. Kriterien in Punkt 3.2.8). Dieser R-Satz kann auch für Stoffe geeignet sein, die die Menge oder die Qualität der Milch beeinflussen.
R 64 wird in der Regel auf folgender Grundlage zugeordnet:
- toxikokinetische Untersuchungen, die auf die Wahrscheinlichkeit hinweisen, dass der Stoff in möglicherweise toxischen Mengen in der Muttermilch vorhanden ist, und/oder
- Ergebnisse von tierexperimentellen Untersuchungen über eine oder zwei Generationen, die auf nachteilige Wirkungen bei den Nachkommen infolge Aufnahme des Stoffes über die Muttermilch hinweisen, und/oder
- Anhaltspunkte beim Menschen, die auf eine Gefahr für den Säugling während der Stillzeit hinweisen.
Stoffe, die sich bekanntermaßen im Körper anreichern und dann während der Stillzeit in der Milch freigesetzt werden könen, sollten mit R 33 und R 64 gekennzeichnet werden.
4.2.4. Verfahren zur Einstufung von Zubereitungen nach spezifischen Gesundheitsschäden
Enthält eine Zubereitung einen oder mehrere Stoffe, die entsprechend den oben genannten Kriterien eingestuft sind, ist sie gemäß den in Teil 2 lit. k–s des Anhangs B genannten Kriterien einzustufen (die Konzentrationsgrenzen sind entweder dem Anhang I der Richtlinie 67/548/EWG oder Teil 3 dieses Anhangs zu entnehmen, falls der bzw. die betreffende[n] Stoff(e) im Anhang I der Richtlinie 67/548/EWG nicht oder ohne Angabe von Konzentrationsgrenzen angeführt ist/sind).
5. EINSTUFUNG AUF GRUND BESTIMMTER AUSWIRKUNGEN AUF DIE UMWELT
5.1. Einleitung
Vorrangiges Ziel der Einstufung von Stoffen und Zubereitungen, die gefährlich für die Umwelt sind, ist die Warnung derjenigen, die mit diesen Stoffen und Zubereitungen umgehen, vor den Gefahren, die sie für Ökosysteme darstellen. Obwohl sich die vorliegenden Kriterien weitgehend auf das aquatische Ökosystem beziehen, wird eingeräumt, dass bestimmte Stoffe und Zubereitungen gleichzeitig oder alternativ auch andere Ökosysteme gefährden können, deren Bestandteile von der Mikroflora und -fauna des Bodens bis hin zu den Primaten reichen können.
Die im Folgenden genannten Kriterien ergeben sich direkt aus den in der Verordnung (EG) Nr. 440/2008, ABl. Nr. L 142 vom 31.05.2008 S. 1 dargestellten Testmethoden, soweit diese dort genannt sind. Für die „Basisbeschreibung“ gemäß den Anhängen VII und VIII der REACH-V ist eine begrenzte Anzahl von Prüfmethoden verfügbar; die hieraus gewonnenen Informationen können für eine ordnungsgemäße Einstufung unzureichend sein. Für die Einstufung können zusätzliche Daten aus den Anhängen IX oder X der REACH-V oder aus sonstigen gleichwertigen Untersuchungen erforderlich sein. Darüber hinaus kann bei bereits eingestuften Stoffen aufgrund anderer neuer Daten eine Überarbeitung erfolgen. (BGBl II 393/2008)
Zur Einstufung und Kennzeichnung werden diese Stoffe und Zubereitungen entsprechend dem Stand der Kenntnisse gemäß ihrer akuten und/oder langfristigen Wirkungen in aquatischen Systemen bzw. ihrer akuten und/oder langfristigen Wirkungen in nicht aquatischen Systemen in zwei Gruppen eingeteilt.
5.1.1. Stoffe werden in der Regel auf Grund von experimentellen Daten über ihre Toxizität gegenüber Wasserorganismen, ihren Abbau und log Pow (oder BCF, falls verfügbar) eingestuft.
5.1.2. Zubereitungen sind in der Regel nach einer in § 8 in Verbindung mit Anhang B Teil 4 erwähnten konventionellen Methode einzustufen. In diesem Fall beruht die Einstufung auf den für die einzelnen Stoffe festgelegten Konzentrationsgrenzen,
- in Anhang I der Richtlinie 67/548/EWG oder
- in Anhang B Teil 4, wenn der Stoff oder die Stoffe in Anhang I der Richtlinie 67/548/EWG nicht oder ohne Angabe von Konzentrationsgrenzen aufgeführt sind,
zu entnehmen sind.
5.1.3. Normalerweise werden Zubereitungen anhand einer konventionellen Methode eingestuft. Zur Ermittlung der akuten aquatischen Toxizität kann es jedoch in bestimmten Fällen angebracht sein, Prüfungen mit der Zubereitung durchzuführen. Die Ergebnisse dieser Prüfungen können nur die Einstufung der Zubereitung hinsichtlich der akuten aquatischen Toxizität, die nach einer konventionellen Methode bestimmt worden wäre, beeinflussen. Sind solche Prüfungen von dem für das Inverkehrbringen Verantwortlichen ausgewählt worden, so ist sicherzustellen, dass die in Anhang B Teil 4, Kapitel C für die Prüfmethoden festgelegten Qualitätskriterien eingehalten sind. Ferner sind die Prüfungen entsprechend den Kriterien in diesem Anhang mit allen drei Gruppen von Organismen (Algen, Daphnia und Fische) durchzuführen, es sei denn die höchste Gefahreneinstufung für akute aquatische Toxizität ist der Zubereitung nach Prüfung mit einer dieser Arten zugeteilt worden oder ein Prüfergebnis war bereits vor dem 30. Juli 1999 verfügbar.
5.2. Einstufungskriterien und Auswahl der Gefahrenbezeichnungen sowie der Bezeichnungen der besonderen Gefahren
Die Einstufungskriterien für Stoffe in Punkt 5.2.1 gelten für Zubereitungen nur, wenn sie nach Punkt 5.1.3 geprüft worden sind.
5.2.1. Gewässer
5.2.1.1. Stoffe werden als gefährlich für die Umwelt eingestuft, mit dem Gefahrensymbol „N“ und der entsprechenden Gefahrenbezeichnung und nach den folgenden Kriterien mit den jeweiligen Bezeichnungen der besonderen Gefahren versehen:
R 50 Sehr giftig für Wasserorganismen
und
R 53 Kann in Gewässern längerfristig schädliche Wirkungen haben
Akute Toxizität: 96 h LC50 (Fisch) | ≤ 1 mg/l |
oder 48 h EC50 (Daphnia) | ≤ 1 mg/l |
oder 72 h IC50 (Alge) | ≤ 1 mg/l |
und
- der Stoff ist nicht leicht abbaubar oder
- der log Pow (log Oktanol/Wasser Verteilungskoeffizient) ≥ 3,0 (es sei denn, der experimentell bestimmte BCF ≤ 100).
R 50 Sehr giftig für Wasserorganismen
Akute Toxizität: 96 h LC50 (Fisch) | ≤ 1 mg/l |
oder 48 h EC50 (Daphnia) | ≤ 1 mg/l |
oder 72 h IC50 (Alge) | ≤ 1 mg/l |
R 51 Giftig für Wasserorganismen
und
R 53 Kann in Gewässern längerfristig schädliche Wirkungen haben
Akute Toxizität: 96 hLC50 (Fisch): | 1 mg/l < LC50 ≤ 10 mg/l |
oder 48 hEC50 (Daphnia): | 1 mg/l < EC50 ≤ 10 mg/l |
oder 72 hIC50 (Alge): | 1 mg/l < IC50 ≤ 10 mg/l |
und
- der Stoff ist nicht leicht abbaubar oder
- der log Pow ≥ 3,0 (es sei denn, der experimentell bestimmte BCF ≤ 100).
5.2.1.2. Stoffe sind gemäß den folgenden Kriterien als gefährlich für die Umwelt einzustufen. Die R-Sätze werden ebenfalls nach den nachstehenden Kriterien zugeordnet:
R 52 Schädlich für Wasserorganismen
und
R 53 Kann in Gewässern längerfristig schädliche Wirkungen haben
Akute Toxizität: 96 hLC50 (Fisch): | 10 mg/l < LC50 ≤ 100 mg/l |
oder 48 hEC50 (Daphnia): | 10 mg/l < EC50 ≤ 100 mg/l |
oder 72 hIC50 (Alge): | 10 mg/l < IC50 ≤ 100 mg/l |
und
der Stoff ist nicht leicht abbaubar.
Dieses Kriterium gilt, falls kein zusätzlicher wissenschaftlicher Nachweis über die Abbaubarkeit und/oder Toxizität vorliegt, mit dem sicher festgestellt werden kann, dass weder der Stoff noch seine Abbauprodukte eine potentielle langfristige und/oder spätere Gefahr für Gewässer darstellen. Ein solcher zusätzlicher wissenschaftlicher Nachweis sollte in der Regel auf Untersuchungen, die für Anhang IX der REACH-V gefordert werden, oder gleichwertigen Untersuchungen beruhen und kann Folgendes einschließen:
i) | Nachgewiesene Möglichkeit, in Gewässern schnell abgebaut zu werden. |
ii) | Keine chronischen toxischen Wirkungen bei einer Konzentration von 1,0 mg/l, z.B. Konzentration, bei der keine Wirkung zu beobachten ist, von über 1,0 mg/l, bestimmt in einer Langzeit-Toxizitätsstudie mit Fisch oder Daphnia. |
R 52 Schädlich für Wasserorganismen
Stoffe, die den in diesem Kapitel genannten Kriterien nicht entsprechen, die jedoch auf Grund der vorliegenden Nachweise über ihre Toxizität eine Gefahr für die Struktur/das Funktionieren aquatischer Ökosysteme darstellen können.
R 53 Kann in Gewässern längerfristig schädliche Wirkungen haben
Stoffe, die nicht von den obengenannten Kriterien erfasst werden, aber auf Grund vorliegender Nachweise über ihre Persistenz, Akkumulierbarkeit und vorhergesagtes oder beobachtetes Verhalten in der Umwelt eine unmittelbare oder längerfristige und/oder späteinsetzende Gefahr für die Struktur und/oder das Funktionieren aquatischer Ökosysteme darstellen können.
Schwer wasserlösliche Stoffe, z.B. Stoffe mit einer Löslichkeit von weniger als 1 mg/l, fallen unter diese Kriterien, wenn
- sie nicht leicht abbaubar sind und
- der log Pow ≥ 3,0 (es sei denn, der experimentell bestimmte BCF ≤ 100).
Dieses Kriterium gilt, falls kein zusätzlicher wissenschaftlicher Nachweis über die Abbaubarkeit und/oder Toxizität vorliegt, mit dem sicher festgestellt werden kann, dass weder der Stoff noch seine Abbauprodukte eine potentielle langfristige und/oder spätere Gefahr für Gewässer darstellen.
Ein solcher zusätzlicher wissenschaftlicher Nachweis sollte in der Regel auf Untersuchungen, die für Anhang IX der REACH-V gefordert werden, oder gleichwertigen Untersuchungen beruhen und kann Folgendes einschließen:
i) | Nachgewiesene Möglichkeit, in Gewässern schnell abgebaut zu werden. |
ii) | Keine chronischen toxischen Wirkungen bei der Löslichkeitsgrenze, z.B. Konzentration, bei der keine Wirkung zu beobachten ist, über der Löslichkeitsgrenze, bestimmt in einer Langzeit-Toxizitätsstudie mit Fisch oder Daphnia. |
(BGBl II 393/2008)
5.2.1.3. Bemerkungen zur Bestimmung von IC 50 für Algen und der Abbaubarkeit
Wenn im Fall von Stoffen mit hoher Farbintensität nachgewiesen werden kann, dass das Algenwachstum ausschließlich durch eine Verringerung der Lichtintensität gehemmt wird, sollten 72 h IC50 für Algen nicht als Grundlage für die Einstufung verwendet werden.
Stoffe gelten als leicht abbaubar, wenn folgende Kriterien erfüllt sind:
- Wenn in einer 28-tägigen Bioabbaubarkeitsuntersuchung folgende Abbauwerte erreicht werden:
- Tests mit gelösten organischen Kohlenstoffen: 70 %.
- Tests mit Sauerstoffentzug oder Kohlendioxidbildung: 60 % des theoretischen Maximums.
oder - Falls nur CSB- und BSB5-Daten vorliegen, wenn das Verhältnis BSB5/ CSB größer oder gleich 0,5 ist,
oder - Falls andere stichhaltige wissenschaftliche Nachweise darüber vorliegen, dass der Stoff in Gewässern in 28 Tagen zu einem Grad von > 70 % (biotisch und/oder abiotisch) abgebaut werden kann.
5.2.2. Nichtaquatische Umwelt
5.2.2.1. Stoffe und Zubereitungen werden gemäß den folgenden Kriterien als gefährlich für die Umwelt eingestuft und mit dem Gefahrensymbol „N“, der entsprechenden Gefahrenbezeichnung und den Bezeichnungen der besonderen Gefahren versehen:
R 54 Giftig für Pflanzen
R 55 Giftig für Tiere
R 56 Giftig für Bodenorganismen
R 57 Giftig für Bienen
R 58 Kann längerfristig schädliche Wirkungen auf die Umwelt haben
Stoffe und Zubereitungen, die aufgrund der bekannten Daten über ihre Toxizität, Persistenz, Akkumulierbarkeit und vorausgesagten oder beobachteten Umweltbelastung bzw. ihres Verhaltens in der Umwelt eine unmittelbare oder langfristige und/oder spätere Gefahr für die Struktur und/oder das Funktionieren anderer natürlicher Ökosysteme als der unter Punkt 5.2.1 genannten darstellen. Genauere Kriterien werden zu einem späteren Zeitpunkt erarbeitet.
5.2.2.2. Stoffe und Zubereitungen werden gemäß den folgenden Kriterien als gefährlich für die Umwelt eingestuft und mit dem Gefahrensymbol „N“, der entsprechenden Gefahrenbezeichnung und den Bezeichnungen der besonderen Gefahren versehen:
R 59 Gefährlich für die Ozonschicht
Stoffe, die aufgrund der vorliegenden Nachweise über ihre Eigenschaften und ihres erwarteten oder beobachteten Verbleibs bzw. Verhaltens in der Umwelt eine Gefahr für die Struktur und/oder das Funktionieren der stratosphärischen Ozonschicht darstellen können. Hierzu gehören die in Anhang I der Verordnung (EG) Nr. 2037/2000 des Rates über Stoffe, die zu einem Abbau der Ozonschicht führen, (ABl. L 244 vom 29.9.2000, S. 1) und ihren späteren Änderungen genannten Stoffe.
Zubereitungen werden aufgrund einer konventionellen Methode gemäß § 8 in Verbindung mit Anhang B Teil 4 eingestuft.
6. AUSWAHL DER SICHERHEITSRATSCHLÄGE
6.1. Anwendungsbereich und Auswahl der S-Sätze (Einleitung)
Die Sicherheitsratschläge (S-Sätze) werden für gefährliche Stoffe und Zubereitungen entsprechend den folgenden allgemeinen Kriterien ausgewählt. Für einige Zubereitungen sind darüber hinaus die im § 23 genannten Sicherheitsratschläge verbindlich.
Hierzu folgende Erläuterungen:
- Soweit nachfolgend nicht anderes vorgeschrieben, ist es im allgemeinen nicht erforderlich, Sicherheitsratschläge anzuwenden, deren Befolgung bei Beachtung der angebenen Gefahrenhinweise selbstverständlich ist. So ist z.B. der S 23 „Gas… nicht einatmen“ nicht erforderlich, wenn mit R 23 darauf hingewiesen wird, dass der Stoff „Giftig beim Einatmen“ ist.
- Unter „Anwendungsbereich“ sind die gefährlichen Eigenschaften genannt, bei deren Vorliegen geprüft werden muss, ob dieser S-Satz anzuwenden ist. Bei anderen als den genannten Eigenschaften soll dieser S-Satz in der Regel nicht verwendet werden.
- Unter „Verwendung“ ist zu ersehen, ob die Anwendung allgemein erforderlich oder empfohlen ist, ob sie auf bestimmte Stoffe weiter eingeschränkt ist, ob bestimmte Kombinationen von S-Sätzen vorgeschrieben sind, oder ob die Verwendung dieses Satzes die Verwendung anderer S-Sätze ausschließt.
Wird in diesem Kapitel der Hersteller genannt, ist damit derjenige, der für die Vermarktung des Stoffes oder der Zubereitung verantwortlich ist, gemeint.
6.2. Sicherheitsratschläge für Stoffe und Zubereitungen
S 1 Unter Verschluss aufbewahren
- Anwendungsbereich
- Sehr giftige, giftige oder ätzende Stoffe und Zubereitungen.
- Verwendung
- Obligatorisch für alle obengenannten Stoffe und Zubereitungen, wenn sie für die allgemeine Öffentlichkeit bestimmt sind.
S 2 Darf nicht in die Hände von Kindern gelangen
- Anwendungsbereich
- Alle gefährlichen Stoffe und Zubereitungen.
- Verwendung
- Obligatorisch für alle gefährlichen Stoffe und Zubereitungen, die für die Öffentlichkeit bestimmt sind, ausser denen, die lediglich als umweltgefährlich eingestuft wurden.
S 3 Kühl aufbewahren
- Anwendungsbereich
- Organische Peroxide.
- Sonstige gefährliche Stoffe und Zubereitungen mit einem Siedepunkt von höchstens 40 °C.
- Verwendung
- Obligatorisch für organische Peroxide, ausser bei Verwendung von S 47.
- Empfohlen für die anderen obengenannten Stoffe und Zubereitungen mit einem Siedepunkt von höchstens 40 °C.
S 4 Von Wohnplätzen fernhalten
- Anwendungsbereich
- Sehr giftige und giftige Stoffe und Zubereitungen.
- Verwendung
- Normalerweise beschränkt auf sehr giftige und giftige Stoffe und Zubereitungen, wenn es ratsam ist, S 13 zu ergänzen; z.B. wenn die Gefahr des Einatmens besteht und der Stoff oder die Zubereitung von Wohnplätzen ferngehalten werden sollte. Der Ratschlag soll den sachgemäßen Gebrauch des Stoffes oder der Zubereitung in Wohnplätzen aber nicht ausschließen.
S 5 Unter ... aufbewahren (geeignete Flüssigkeit von Hersteller anzugeben)
- Anwendungsbereich
- Selbstentzündliche feste Stoffe und Zubereitungen.
- Verwendung
- Normalerweise beschränkt auf Sonderfälle, z.B. Natrium, Kalium oder weißer Phosphor.
S 6 Unter ... aufbewahren (inertes Gas vom Hersteller anzugeben)
- Anwendungsbereich
- Gefährliche Stoffe und Zubereitungen, die unter Inertgas aufbewahrt werden müssen.
- Verwendung
- Normalerweise beschränkt auf Sonderfälle, z.B. metallorganische Verbindungen.
S 7 Behälter dicht geschlossen halten
- Anwendungsbereich
- Organische Peroxide.
- Stoffe und Zubereitungen, die sehr giftige, giftige, gesundheitsschädliche oder hochentzündliche Gase freisetzen können.
- Stoffe und Zubereitungen, die bei der Berührung mit Feuchtigkeit hochentzündliche Gase freisetzen.
- Hochentzündliche feste Stoffe.
- Verwendung
- Obligatorisch für organische Peroxide.
- Empfohlen für die obengenannten Anwendungsbereiche.
S 8 Behälter trocken halten
- Anwendungsbereich
- Stoffe und Zubereitungen, die heftig mit Wasser reagieren können.
- Stoffe und Zubereitungen, die bei der Berührung mit Wasser hochentzündliche Gase freisetzen.
- Stoffe und Zubereitungen, die bei der Berührung mit Wasser sehr giftige oder giftige Gase freisetzen.
- Verwendung
- Normalerweise beschränkt auf die obengenannten Anwendungsbereiche, wenn es notwendig ist, die Warnungen durch R 14, insbesondere R 15 und R 29 zu verstärken.
S 9 Behälter an einem gut gelüfteten Ort aufbewahren
- Anwendungsbereich
- Flüchtige Stoffe und Zubereitungen, die sehr giftige, giftige oder gesundheitsschädliche Dämpfe freisetzen können.
- Hoch- oder leichtentzündliche Flüssigkeiten und hochentzündliche Gase.
- Verwendung
- Empfohlen für flüchtige Stoffe und Zubereitungen, die sehr giftige, giftige oder gesundheitsschädliche Dämpfe freisetzen können.
- Empfohlen für hoch- oder leichtentzündliche Flüssigkeiten oder hochentzündliche Gase.
S 12 Behälter nicht gasdicht verschließen
- Anwendungsbereich
- Stoffe und Zubereitungen, die Gase oder Dämpfe freisetzen, die die Verpackung zum Bersten bringen können.
- Verwendung
- Normalerweise beschränkt auf diese Sonderfälle.
S 13 Von Nahrungsmitteln, Getränken und Futtermitteln fernhalten
- Anwendungsbereich
- Sehr giftige, giftige und gesundheitsschädliche Stoffe und Zubereitungen.
- Verwendung
- Empfohlen für Stoffe und Zubereitungen, die wahrscheinlich von der allgemeinen Öffentlichkeit verwendet werden.
S 14 Von … fernhalten (inkompatible Substanzen sind vom Hersteller anzugeben)
- Anwendungsbereich
- Organische Peroxide.
- Obligatorisch für organische Peroxide und normalerweise auf diese beschränkt. Kann jedoch in außergewöhnlichen Fällen angebracht sein, wenn die Inkompatibilität zu einer spezifischen Gefahr führen kann.
S 15 Vor Hitze schützen
- Anwendungsbereich
- Stoffe und Zubereitungen, die sich unter Einwirkung von Wärme zersetzen und spontan reagieren können.
- Verwendung
- Normalerweise beschränkt auf Sonderfälle, z.B. Monomere, aber nicht erforderlich, wenn die Gefahrenhinweise R 2, R 3 und/oder R 5 bereits zugeordnet wurden.
S 16 Von Zündquellen fernhalten – Nicht rauchen
- Anwendungsbereich
- Hochentzündliche oder leichtentzündliche Flüssigkeiten und hochentzündliche Gase.
- Verwendung
- Empfohlen für die obengenannten Stoffe und Zubereitungen, nicht erforderlich, wenn die Gefahrenhinweise R 2, R 3 und/oder R 5 bereits zugeordnet wurden.
S 17 Von brennbaren Stoffen fernhalten
- Anwendungsbereich
- Stoffe und Zubereitungen, die mit brennbaren Stoffen explosionsfähige oder selbstentzündliche Mischungen bilden können.
- Verwendung
- Verfügbar zur Verwendung in Sonderfällen, z.B. zur Verstärkung von R 8 und R 9.
S 18 Behälter mit Vorsicht öffnen und handhaben
- Anwendungsbereich
- Stoffe und Zubereitungen, die in der Verpackung einen Überdruck entwickeln können.
- Stoffe und Zubereitungen, die explosionsgefährliche Peroxide bilden können.
- Verwendung
- Normalerweise beschränkt auf die obengenannten Fälle, wenn die Gefahr von Augenschäden besteht und/oder wenn die Stoffe und Zubereitungen für die allgemeine Öffentlichkeit bestimmt sind.
S 20 Bei der Arbeit nicht essen und trinken
- Anwendungsbereich
- Sehr giftige, giftige oder ätzende Stoffe und Zubereitungen.
- Verwendung
- Normalerweise beschränkt auf Sonderfälle (z.B. Arsen und Arsenverbindungen; Fluoracetate), insbesondere, wenn die Stoffe und Zubereitungen für die allgemeine Öffentlichkeit bestimmt sind.
S 21 Bei der Arbeit nicht rauchen
- Anwendungsbereich
- Stoffe und Zubereitungen, die bei Verbrennung giftige Produkte freisetzen.
- Verwendung
- Normalerweise beschränkt auf Sonderfälle (z.B. halogenierte Verbindungen).
S 22 Staub nicht einatmen
- Anwendungsbereich
- Alle festen gesundheitsgefährlichen Stoffe und Zubereitungen.
- Verwendung
- Obligatorisch für die obengenannten Stoffe und Zubereitungen, die mit R 42 gekennzeichnet sind.
- Empfohlen für die obengenannten Stoffe und Zubereitungen, die in Form von Stäuben vorliegen, die eingeatmet werden können und deren Gesundheitsgefahren durch Einatmen nicht bekannt sind.
S 23 Gas/Rauch/Dampf/Aerosol nicht einatmen (geeignete Bezeichnung[en] vom Hersteller anzugeben)
- Anwendungsbereich
- Alle flüssigen oder gasförmigen gesundheitsgefährlichen Stoffe und Zubereitungen.
- Verwendung
- Obligatorisch für die obengenannten Stoffe und Zubereitungen, die mit R 42 gekennzeichnet sind.
- Obligatorisch für Stoffe und Zubereitungen, die zur Verwendung als Sprays bestimmt sind; entweder S 38 oder S 51 sind zusätzlich zu verwenden.
- Empfohlen, wenn es notwendig ist, den Verbraucher auf Gefahren beim Einatmen aufmerksam zu machen, die nicht in den jeweiligen Gefahrenhinweisen erwähnt werden.
S 24 Berührung mit der Haut vermeiden
- Anwendungsbereich
- Alle gesundheitsgefährlichen Stoffe und Zubereitungen.
- Verwendung
- Obligatorisch für Stoffe und Zubereitungen, die mit R 43 gekennzeichnet sind, ausser wenn sie auch mit S 36 gekennzeichnet sind.
- Empfohlen, wenn es notwendig ist, den Verbraucher auf Gefahren bei Berührung mit der Haut aufmerksam zu machen, die nicht in den jeweiligen Gefahrenhinweisen erwähnt sind, z.B. Paresthesie. Kann auch zur Verstärkung solcher Gefahrenhinweise dienen.
S 25 Berührung mit den Augen vermeiden
- Anwendungsbereich
- Alle gesundheitsgefährlichen Stoffe und Zubereitungen.
- Verwendung
- Empfohlen, wenn die Anwender auf die Gefahren infolge Augenkontakts aufmerksam gemacht werden müssen, die nicht in den zugeordneten R-Sätzen erwähnt sind. Kann jedoch auch zur Verstärkung der Wirkung solcher R-Sätze verwendet werden.
- Empfohlen, wenn Stoffe, denen die R-Sätze R 34, R 35, R 36 oder R 41 zugeordnet wurden, an die allgemeine Öffentlichkeit abgegeben werden.
S 26 Bei Berührung mit den Augen sofort gründlich mit Wasser abspülen und Arzt konsultieren
- Anwendungsbereich
- Ätzende oder reizende Stoffe und Zubereitungen.
- Verwendung
- Obligatorisch für ätzende Stoffe und Zubereitungen und wenn der Gefahrenhinweis R 41 vorgesehen ist.
- Empfohlen für reizende Stoffe und Zubereitungen; für die bereits der Gefahrenhinweis R 36 vorgesehen ist.
S 27 Beschmutzte, getränkte Kleidung sofort ausziehen
- Anwendungsbereich
- Sehr giftige, giftige oder ätzende Stoffe und Zubereitungen.
- Verwendung
- Obligatorisch für sehr giftige Stoffe und solchen Zubereitungen, denen der Gefahrenhinweis R 27 zugeordnet wurde und die für die allgemeine Öffentlichkeit bestimmt sind.
- Empfohlen für sehr giftige Stoffe und Zubereitungen, denen der Gefahrenhinweis R 27 zugeordnet wurde und für die industrielle Verwendung bestimmt sind; jedoch sollte dieser Sicherheitsratschlag nicht verwendet werden, wenn bereits S 36 zugeordnet wurde.
- Empfohlen für giftige Stoffe und Zubereitungen, denen der Gefahrenhinweis R 24 zugeordnet wurde und ebenfalls für ätzende Stoffe und Zubereitungen, die für die allgemeine Öffentlichkeit bestimmt sind.
S 28 Bei Berührung mit der Haut sofort mit viel … (vom Hersteller anzugeben) abwaschen
- Anwendungsbereich
- Sehr giftige, giftige oder ätzende Stoffe und Zubereitungen.
- Verwendung
- Obligatorisch für sehr giftige Stoffe und Zubereitungen.
- Empfohlen für sonstige obengenannte Stoffe und Zubereitungen, insbesondere, wenn Wasser nicht die geeignete Spülflüssigkeit ist.
- Empfohlen für ätzende Stoffe und Zubereitungen, die für die allgemeine Öffentlichkeit bestimmt sind.
S 29 Nicht in die Kanalisation gelangen lassen
- Anwendungsbereich
- Hoch- oder leichtentzündliche Flüssigkeiten, die sich nicht mit Wasser vermischen.
- Sehr giftige und giftige Stoffe und Zubereitungen.
- Umweltgefährliche Stoffe und Zubereitungen.
- Verwendung
- Obligatorisch für umweltgefährliche Stoffe und Zubereitungen, die mit dem Gefahrensymbol „N“ gekennzeichnet sind und die für die allgemeine Öffentlichkeit bestimmt sind, außer es handelt sich hiebei um ihre bestimmungsgemäße Verwendung.
- Empfohlen für die obengenannten Stoffe und Zubereitungen, die für die allgemeine Öffentlichkeit bestimmt sind, außer es handelt sich hiebei um ihre bestimmungsgemäße Verwendung.
S 30 Niemals Wasser hinzugießen
- Anwendungsbereich
- Stoffe und Zubereitungen, die heftig mit Wasser reagieren.
- Verwendung
- Normalerweise beschränkt auf Sonderfälle (z.B. Schwefelsäure); kann auch verwendet werden, um die klarstmögliche Information zu vermitteln, entweder als Verstärkung von R 14 oder als Alternative zu R 14.
S 33 Maßnahmen gegen elektrostatische Aufladungen treffen
- Anwendungsbereich
- Hoch- oder leichtentzündliche Stoffe und Zubereitungen.
- Verwendung
- Empfohlen für Stoffe und Zubereitungen, die für industrielle Zwecke bestimmt sind und keine Feuchtigkeit aufnehmen. Nicht erforderlich, wenn Stoffe und Zubereitungen für die allgemeine Öffentlichkeit bestimmt sind.
S 35 Abfälle und Behälter müssen in gesicherter Weise beseitigt werden
- Anwendungsbereich
- Alle gefährlichen Stoffe und Zubereitungen.
- Verwendung
- Empfohlen für Stoffe und Zubereitungen, deren Beseitigung besonderer Anweisung bedarf.
S 36 Bei der Arbeit geeignete Schutzkleidung tragen
- Anwendungsbereich
- Organische Peroxide.
- Sehr giftige, giftige oder gesundheitsschädliche Stoffe und Zubereitungen.
- Ätzende Stoffe und Zubereitungen.
- Verwendung
- Obligatorisch für sehr giftige und ätzende Stoffe und Zubereitungen.
- Obligatorisch für Stoffe und Zubereitungen, denen entweder R 21 oder R 24 zugeordnet wurden.
- Obligatorisch für krebserzeugende, erbgutverändernde und fortpflanzungsgefährdende Stoffe der Kategorie 3, es sei denn, die Wirkungen treten ausschließlich beim Einatmen des Stoffes oder der Zubereitung auf.
- Obligatorisch für organische Peroxide.
- Empfohlen für giftige Stoffe und Zubereitungen, wenn der LD50- Wert dermal nicht bekannt ist, der Stoff oder die Zubereitung jedoch aller Wahrscheinlichkeit nach bei Berührung mit der Haut giftig ist.
- Empfohlen für Stoffe und Zubereitungen, die zu industriellen Zwecken verwendet werden und bei längerer Exposition zu Schäden führen können.
S 37 Geeignete Schutzhandschuhe tragen
- Anwendungsbereich
- Sehr giftige, giftige, gesundheitsschädliche oder ätzende Stoffe und Zubereitungen.
- Organische Peroxide.
- Hautreizende oder durch Hautkontakt sensibilisierende Stoffe und Zubereitungen.
- Verwendung
- Obligatorisch für sehr giftige und ätzende Stoffe und Zubereitungen.
- Obligatorisch für Stoffe und Zubereitungen, die entweder mit R 21, R 24 oder R 43 gekennzeichnet sind.
- Obligatorisch für krebserzeugende, erbgutverändernde und fortpflanzungsgefährdende Stoffe der Kategorie 3, außer die Wirkungen werden ausschließlich beim Einatmen des Stoffes oder der Zubereitung hervorgerufen.
- Obligatorisch für organische Peroxide.
- Empfohlen für giftige Stoffe und Zubereitungen, wenn der LD50- Wert dermal nicht bekannt ist, der Stoff oder die Zubereitung jedoch aller Wahrscheinlichkeit nach bei Berührung mit der Haut giftig ist.
- Empfohlen für Stoffe und Zubereitungen, die die Haut reizen.
S 38 Bei unzureichender Belüftung Atemschutzgerät anlegen
- Anwendungsbereich
- Sehr giftige oder giftige Stoffe und Zubereitungen.
- Verwendung
- Normalerweise beschränkt auf besondere Fälle, bei denen der Gebrauch der obengenannten Stoffe und Zubereitungen für industrielle oder landwirtschaftliche Zwecke notwendig ist.
S 39 Schutzbrille/Gesichtsschutz tragen
- Anwendungsbereich
- Organische Peroxide.
- Ätzende Stoffe und Zubereitungen, einschließlich reizender Stoffe, bei denen die Gefahr schwerer Augenschäden besteht.
- Sehr giftige und giftige Stoffe und Zubereitungen.
- Verwendung
- Obligatorisch für Stoffe und Zubereitungen, die mit R 34, R 35 oder R 41 gekennzeichnet sind.
- Obligatorisch für organische Peroxide.
- Empfohlen, wenn die Aufmerksamkeit des Benutzers auf Gefahren bei Berührung mit den Augen, die in den jeweiligen Bezeichnungen der besonderen Gefahren nicht erwähnt werden, gelenkt werden soll.
- Normalerweise beschränkt auf außergewöhnliche Fälle bei sehr giftigen und giftigen Stoffen und Zubereitungen, wenn vor eventuellen Spritzern gewarnt werden soll und die Stoffe und Zubereitungen leicht von der Haut absorbiert werden können.
S 40 Fußboden und verunreinigte Gegenstände mit ... reinigen (vom Hersteller anzugeben)
- Anwendungsbereich
- Alle gefährlichen Stoffe und Zubereitungen.
- Verwendung
- Normalerweise beschränkt auf die Stoffe und Zubereitungen, für die Wasser nicht das geeignete Reinigungsmittel ist (z.B. wo Absorption durch ein staubförmiges Material oder die Auflösung durch Lösungsmittel usw. notwendig ist) und für die aus Gesundheits- und/oder Sicherheitsgründen eine Warnung in der Kennzeichnung notwendig ist.
S 41 Explosions- und Brandgase nicht einatmen
- Anwendungsbereich
- Gefährliche Stoffe und Zubereitungen, die bei Verbrennung sehr giftige oder giftige Gase freisetzen.
- Verwendung
- Normalerweise beschränkt auf Sonderfälle.
S 42 Beim Räuchern/Versprühen geeignetes Atemschutzgerät anlegen (geeignete Bezeichnung[en] vom Hersteller anzugeben)
- Anwendungsbereich
- Stoffe und Zubereitungen, die zu solchen Zwecken genutzt werden sollen, ohne Vorsichtsmaßnahmen aber Gesundheit und Sicherheit des Benutzers gefährden.
- Verwendung
- Normalerweise beschränkt auf Sonderfälle.
S 43 Zum Löschen ... (vom Hersteller anzugeben) verwenden (wenn Wasser die Gefahr erhöht, anfügen: „Kein Wasser verwenden“)
- Anwendungsbereich
- Hoch-, leicht- und entzündliche Stoffe und Zubereitungen.
- Verwendung
- Obligatorisch für Stoffe und Zubereitungen, die bei Berührung mit Wasser oder feuchter Luft hochentzündliche Gase freisetzen.
- Empfohlen, wenn die obengenannten Stoffe und Zubereitungen nicht mit Wasser mischbar sind.
S 45 Bei Unfall oder Unwohlsein sofort Arzt zuziehen (wenn möglich, dieses Etikett vorzeigen)
- Anwendungsbereich
- Sehr giftige Stoffe und Zubereitungen.
- Giftige und ätzende Stoffe und Zubereitungen.
- Stoffe und Zubereitungen, die sensibilisierend beim Einatmen sind.
- Verwendung
- Obligatorisch für die obengenannten Stoffe und Zubereitungen.
S 46 Bei Verschlucken sofort ärztlichen Rat einholen und Verpackung oder Etikett vorzeigen
- Anwendungsbereich
- Alle gefährlichen Stoffe und Zubereitungen außer den sehr giftigen, giftigen, ätzenden oder umweltgefährlichen.
- Verwendung
- Obligatorisch für alle obengenannten gefährlichen Stoffe und Zubereitungen, die für die allgemeine Öffentlichkeit bestimmt sind, es sei denn, eine Gefahr beim Verschlucken – insbesondere bei Kindern – ist nicht zu befürchten.
S 47 Nicht bei Temperaturen über … °C aufbewahren (vom Hersteller anzugeben)
- Anwendungsbereich:
- Stoffe und Zubereitungen, die bei einer bestimmten Temperatur instabil werden.
- Verwendung
- Normalerweise beschränkt auf Sonderfälle (z.B. bestimmte organische Peroxide).
S 48 Feucht halten mit … (geeignetes Mittel vom Hersteller anzugeben)
- Anwendungsbereich
- Stoffe und Zubereitungen, die bei Austrocknung sehr empfindlich auf Funken, Reibung oder Stöße reagieren können.
- Verwendung
- Normalerweise beschränkt auf Sonderfälle, z.B. Nitrozellulosen.
S 49 Nur im Originalbehälter aufbewahren
- Anwendungsbereich
- Stoffe und Zubereitungen, die anfällig für beschleunigte Zersetzung sind.
- Verwendung
- Stoffe und Zubereitungen, die anfällig für beschleunigte Zersetzung sind (z.B. bestimmte organische Peroxide).
S 50 Nicht mischen mit … (vom Hersteller anzugeben)
- Anwendungsbereich
- Stoffe und Zubereitungen, die mit dem angegebenen Produkt unter Freisetzung sehr giftiger oder giftiger Gase reagieren können.
- Organische Peroxide.
- Verwendung
- Empfohlen für die obengenannten Stoffe und Zubereitungen, wenn sie für die allgemeine Öffentlichkeit bestimmt sind und S 50 angemessener erscheint als R 31 oder R 32.
- Obligatorisch für bestimmte Peroxide, die mit Akzeleratoren oder Promotoren heftig reagieren können.
S 51 Nur in gut gelüfteten Bereichen verwenden
- Anwendungsbereich
- Stoffe und Zubereitungen, die Dämpfe, Staub, Aerosole, Rauch, Dunst usw. erzeugen können oder sollen, wodurch die Gefahr des Einatmens, eines Brandes oder einer Explosion entsteht.
- Verwendung
- Empfohlen, wenn S 38 nicht geeignet ist; wichtig, wenn die obengenannten Stoffe und Zubereitungen für die allgemeine Öffentlichkeit bestimmt sind.
S 52 Nicht großflächig für Wohn- und Aufenthaltsräume verwenden
- Anwendungsbereich
- Sehr giftige, giftige und gesundheitsschädliche flüchtige Stoffe und Zubereitungen, die solche Stoffe enthalten.
- Verwendung
- Empfohlen, wenn sich diese Stoffe und Zubereitungen bei längerer Exposition von großen behandelten Oberflächen in Wohnräumen oder anderen geschlossenen Räumen, in denen sich Personen aufhalten, verflüchtigen und dadurch Gesundheitsschäden hervorrufen können.
S 53 Exposition vermeiden – vor Gebrauch besondere Anweisungen einholen
- Anwendungsbereich
- Krebserzeugende, erbgutverändernde und/oder fortpflanzungsgefährdende Stoffe und Zubereitungen.
- Verwendung
- Obligatorisch für die obengenannten Stoffe und Zubereitungen, für die mindestens einer der folgenden R-Sätze vorgesehen ist: R 45, R 46, R 49, R 60 oder R 61.
S 56 Dieses Produkt und seinen Behälter der Problemabfallentsorgung zuführen
- Anwendungsbereich
- Alle gefährlichen Stoffe und Zubereitungen.
- Verwendung
- Empfohlen für alle gefährlichen Stoffe und Zubereitungen, die für die allgemeine Öffentlichkeit bestimmt sind und für die eine Problemabfallentsorgung vorgesehen ist.
S 57 Zur Vermeidung einer Kontamination der Umwelt geeigneten Behälter verwenden
- Anwendungsbereich
- Stoffe und Zubereitungen, die mit dem Gefahrensymbol „N“ gekennzeichnet sind.
- Verwendung
- Normalerweise auf Stoffe und Zubereitungen beschränkt, die nicht für die allgemeine Öffentlichkeit bestimmt sind.
S 59 Information zur Wiederverwendung/Wiederverwertung beim Hersteller/Lieferanten erfragen
- Anwendungsbereich
- Alle gefährlichen Stoffe und Zubereitungen.
- Verwendung
- Obligatorisch für Stoffe und Zubereitungen, die gefährlich für die Ozonschicht sind.
- Empfohlen für sonstige Stoffe und Zubereitungen, für die eine Wiederverwendung/Wiederverwertung empfohlen wird.
S 60 Dieses Produkt und sein Behälter sind als gefährlicher Abfall zu entsorgen
- Anwendungsbereich
- Alle gefährlichen Stoffe und Zubereitungen.
- Verwendung
- Empfohlen für Stoffe und Zubereitungen, die nicht für die allgemeine Öffentlichkeit bestimmt sind und denen der S-Satz S 35 nicht zugeordnet wurde.
S 61 Freisetzung in die Umwelt vermeiden. Besondere Anweisungen einholen/Sicherheitsdatenblatt zu Rate ziehen
- Anwendungsbereich
- Umweltgefährliche Stoffe und Zubereitungen.
- Verwendung
- Normalerweise für Stoffe und Zubereitungen, die mit dem Gefahrensymbol „N“ gekennzeichnet werden.
- Empfohlen für alle als „umweltgefährlich“ eingestuften Stoffe und Zubereitungen, die nicht oben erfasst werden.
S 62 Bei Verschlucken kein Erbrechen herbeiführen. Sofort ärztlichen Rat einholen und Verpackung oder Etikett vorzeigen
- Anwendungsbereich
- Stoffe und Zubereitungen, die gemäß den Kriterien in Punkt 3.2.3 als gesundheitsschädlich mit R 65 eingestuft sind.
- Gilt nicht für Stoffe und Zubereitungen, die in Aerosolpackungen oder in Behältern mit versiegelter Sprühvorrichtung in Verkehr gesetzt werden, s. Punkte 8 und 9.
- Verwendung
- Obligatorisch für die obengenannten Stoffe und Zubereitungen, wenn sie an die allgemeine Öffentlichkeit abgegeben werden oder für diese bestimmt sind, mit Ausnahme der Fälle, in denen S 45 und S 46 angegeben werden müssen.
- Empfohlen für die obengenannten Stoffe und Zubereitungen, wenn sie zu industriellen Zwecken verwendet werden, mit Ausnahme der Fälle, in denen S 45 und S 46 angegeben werden müssen.
S 63 Bei Unfall durch Einatmen: Verunfallten an die frische Luft bringen und ruhigstellen
- Anwendungsbereich
- Sehr giftige und giftige Stoffe und Zubereitungen (Gase, Dämpfe, Stäube, leichtflüchtige Flüssigkeiten).
- Stoffe und Zubereitungen, die sensibilisierend beim Einatmen sind.
- Verwendung
- Obligatorisch für Stoffe und Zubereitungen, denen der Gefahrenhinweis R 26, R 23 oder R 42 zugeordnet wurde und die in der Form, in der sie für die allgemeine Öffentlichkeit bestimmt sind, eine Gefahr durch Einatmen darstellen können.
S 64 Bei Verschlucken Mund mit Wasser ausspülen (nur wenn Verunfallter bei Bewußtsein ist)
- Anwendungsbereich
- Ätzende oder reizende Stoffe und Zubereitungen.
- Verwendung
- Empfohlen für die oben genannten Stoffe und Zubereitungen, die für die allgemeine Öffentlichkeit bestimmt sind und bei denen die obige Form der Behandlung geeignet ist.
7. KENNZEICHNUNG
7.1. Ist ein Stoff oder eine Zubereitung eingestuft, wird die entsprechende Kennzeichnung gemäß den Anforderungen in den §§ 13, 14 und 15 für Stoffe bzw. Zubereitungen festgelegt. In diesem Abschnitt wird erläutert, wie die Kennzeichnung ermittelt wird; insbesondere werden Leitlinien für die Auswahl der entsprechenden Bezeichnung der besonderen Gefahren (R-Sätze) und Sicherheitsratschläge (S-Sätze) gegeben.
Die Kennzeichnung muss folgende Informationen enthalten:
- Name des Stoffe(s) oder die Namen jener Stoffe, die gemäß § 16 in der Kennzeichnung einer Zubereitung anzugeben sind sowie den Handelsnamen oder die Bezeichnung der Zubereitung.
- Name (die Firma), die vollständige Anschrift und die Telefonnummer eines in einem EWR-Vertragsstaat niedergelassenen Herstellers, Importeurs oder Vertreibers, der den Stoff oder die Zubereitung erstmalig oder erneut in Verkehr setzt.
- Gefahrensymbole und Gefahrenbezeichnungen.
- Bezeichnungen der besonderen Gefahren (R-Sätze).
- Sicherheitsratschläge (S-Sätze)
- Bei Stoffen: EG-Nummer
- Bei Zubereitungen, die für Jedermann im Einzelhandel erhältlich sind, die Nennmenge (Nennmasse oder Nennvolumen)
Bei Stoffen, die im Anhang I der Richtlinie 67/548/EWG angeführt sind, ist in der Kennzeichnung zusätzlich der Hinweis „EG-Kennzeichnung“ anzubringen.
7.1.1. Endgültige Auswahl der R- und S-Sätze
Obwohl die endgültige Auswahl der geeignetsten R- und S-Sätze in erster Linie von der Notwendigkeit abhängt, alle erforderlichen Informationen zu erteilen, sollte auch die Verständlichkeit und die Wirkung der Kennzeichnung nicht ausser acht gelassen werden. Im Hinblick auf die Verständlichkeit sollten die notwendigen Informationen in möglichst wenig Sätzen gegeben werden.
Bei reizenden, leicht entzündlichen, entzündlichen oder brandfördernden Stoffen ist es nicht notwendig, auf die R-Sätze und S-Sätze hinzuweisen, wenn die Verpackung nicht mehr als 125 ml enthält. Das gleiche gilt für gesundheitsschädliche Stoffe in der gleichen Menge, die nicht im Einzelhandel erhältlich sind.
Bei Zubereitungen, deren Verpackungsinhalt 125 ml nicht übersteigt:
- wenn sie als leicht entzündlich, brandfördernd, reizend – mit Ausnahme derjenigen, denen R 41 zugeordnet wurde – oder umweltgefährlich eingestuft sind und ihnen das Gefahrensymbol „N“ zugeordnet wurde, müssen die R- und S-Sätze nicht angegeben werden;
- wenn sie als entzündlich oder umweltgefährlich eingestuft und nicht mit dem Gefahrensymbol „N“ ausgestattet sind, müssen die R-Sätze angegeben werden, jedoch nicht unbedingt die S-Sätze.
7.1.2. In der Kennzeichnung von Stoffen und Zubereitungen dürfen Angaben wie „nicht giftig“, „nicht gesundheitsschädlich“, „nicht umweltbeeinträchtigend“, „ökologisch“ und dergleichen oder jeder andere Hinweis auf den nichtgefährlichen Charakter eines Stoffes oder einer Zubereitung oder eine Angabe, die zu einer Unterschätzung der mit einem Stoff oder einer Zubereitung verbundenen Gefahren führen könnte, oder auf ihrer Verpackung nicht angebracht werden.
Die §§ 23 und 24 enthalten Sonderbestimmungen für die Kennzeichnung bestimmter Zubereitungen.
7.2. Chemische Bezeichnungen in der Kennzeichnung
7.2.1. Bei Stoffen, die im Anhang I der Richtlinie 67/548/EWG angeführt sind, ist in der Kennzeichnung der Name des Stoffes unter einer der in Anhang I der Richtlinie 67/548/EWG angeführten Bezeichnungen anzugeben.
Ist der Stoff nicht im Anhang I der Richtlinie 67/548/EWG angeführt, so muss bei der Angabe des Namens eine international anerkannte chemische Nomenklatur (vgl. Punkt 1.4) verwendet werden.
7.2.2. Bei Zubereitungen sind die Namen der Stoffe nach Maßgabe des § 16 in der Kennzeichnung anzugeben.
In den meisten der Fälle werden daher nicht mehr als vier chemische Namen anzugeben sein, um die Stoffe zu bestimmen, auf die die wichtigsten gefährlichen Eigenschaften für die Gesundheit im wesentlichen zurückzuführen sind, welche für die Einstufung und Wahl der entsprechenden R-Sätze geführt haben; in bestimmten Fällen werden daher auch mehr als vier chemische Namen notwendig sein.
Anmerkung:
Unbeschadet § 24 Z 7:
- ist der Name des sensibilisierenden Stoffes entsprechend Abschnitt 7.2.1 dieses Anhangs zu wählen;
- für „konzentrierte Zubereitungen, die ausschließlich für die Parfümindustrie bestimmt sind“, ist der Name des Stoffes entsprechend Punkt 7.2.1 dieses Anhangs zu wählen,
- Der gemäß § 27 ChemG 1996 Verantwortliche hat nur den Stoff in der Kennzeichnung anzugeben, der vorrangig für die Gefahr der Sensibilisierung ausschlaggebend ist.
- Bei Naturstoffen kann eine Bezeichnung wie „ätherisches Öl aus …“,
„ …-extrakt“ anstatt des Namens der Bestandteile dieses ätherischen Öls oder Extrakts verwendet werden.
7.3. Auswahl der Gefahrensymbole
Die Gefahrensymbole und Gefahrenbezeichnungen müssen Anhang A Punkt 1 entsprechen. Das Symbol ist in schwarzem Aufdruck auf orangegelbem Grund anzubringen.
7.3.1. Für Stoffe, die im Anhang I der Richtlinie 67/548/EWG enthalten sind, gelten die dort festgelegten Gefahrensymbole und -bezeichnungen.
7.3.2. Gefährliche Stoffe, die noch nicht im Anhang I der Richtlinie 67/548/EWG enthalten sind, sowie gefährlichen Zubereitungen werden die Gefahrensymbole und Gefahrenbezeichnungen nach den in diesem Anhang festgelegten Kriterien zugeordnet.
Ist nach der Einstufung eines Stoffes oder einer Zubereitung die Zuordnung mehrerer Gefahrensymbole und Gefahrenbezeichnungen erforderlich, darf
- bei Kennzeichnungen als „sehr giftig“ die Kennzeichnung als „giftig“, „gesundheitsschädlich“, „ätzend“ oder „reizend“ entfallen, sofern im Anhang I der Richtlinie 67/548/EWG nicht anderes bestimmt ist;
- bei Kennzeichnungen als „giftig“ die Kennzeichnung als „gesundheitsschädlich“, „ätzend“ oder „reizend“ entfallen, sofern im Anhang I der Richtlinie 67/548/EWG nicht anderes bestimmt ist;
- bei Kennzeichnung als „ätzend“ die Kennzeichnung als „reizend“ oder „gesundheitsschädlich“ entfallen, ausser die Kennzeichnung als „gesundheitsschädlich“ ergibt sich aus der Einstufung nach Anhang B Teil 1, Punkt 4;
- bei Kennzeichnung als „explosionsgefährlich“ die Kennzeichnung als „hochentzündlich“, „leichtentzündlich“ oder „brandfördernd“ entfallen, sofern im Anhang I der Richtlinie 67/548/EWG nicht anderes bestimmt ist;
- bei Kennzeichnung als „gesundheitsschädlich“ die Kennzeichnung als „reizend“ entfallen, sofern im Anhang I der Richtlinie 67/548/EWG nicht anderes bestimmt ist.
7.4. Wahl der R-Sätze
Der Wortlaut der in der Kennzeichnung von gefährlichen Stoffen und gefährlichen Zubereitungen anzuführenden Hinweise auf besondere Gefahren (R-Sätze) hat den Angaben in Anhang A Punkt 2.1.1 zu entsprechen. Gegebenenfalls sind die im Anhang A Punkt 2.1.2 genannten Kombinationen von R-Sätzen zu verwenden, wobei diese Kombinationen als ein Satz anzusehen sind.
7.4.1. Für Stoffe, die im Anhang I der Richtlinie 67/548/EWG angeführt sind, gelten die dort festgelegten R-Sätze.
7.4.2. Stoffen, die nicht im Anhang I der Richtlinie 67/548/EWG angeführt sind, werden die R-Sätze nach den folgenden Kriterien und Prioritäten zugeordnet:
- Gesundheitsgefahren:
i)
R-Sätze, die einem durch ein Gefahrensymbol dargestelltes Gefährlichkeitsmerkmal zuzuordnen sind, und
ii)
R-Sätze, die anderen Gefährlichkeitsmerkmalen zuzuordnen sind, die nicht durch ein Symbol dargestellt sind, müssen in der Kennzeichnung angegeben werden.
- Gefahren auf Grund physikalisch-chemischer Eigenschaften:
- Es gelten die unter Punkt 7.4.2 lit. a genannten Kriterien.
- Umweltgefahren:
- Die R-Sätze, die dem Gefährlichkeitsmerkmal „umweltgefährlich“ zugeordnet sind, müssen in der Kennzeichnung angegeben werden.
7.4.3. Bei Zubereitungen werden die R-Sätze nach den folgenden Kriterien und Prioritäten ausgewählt:
- Gesundheitsgefahren:
i)
R-Sätze, die einem durch ein Gefahrensymbol dargestellten Gefährlichkeitsmerkmal zugeordnet sind; insbesondere müssen die R-Sätze des/der Bestandteils/Bestandteile, der/die für die Zuordnung eines Gefährlichkeitsmerkmals ausschlaggebend ist/sind, in der Kennzeichnung erscheinen. In bestimmten Fällen müssen die R-Sätze nach den Tabellen des Anhangs B Teil 3 angepasst werden.
ii)
Bestandteilen zugeordnete R-Sätze, die anderen Gefährlichkeitsmerkmalen zugeordnet sind, und die nicht durch ein Symbol dargestellt sind, müssen in der Kennzeichnung angegeben werden.
- Gefahren auf Grund physikalisch-chemischer Eigenschaften:
- Es gelten die unter Punkt 7.4.3 lit. a genannten Kriterien; die R-Sätze „hochentzündlich“ oder „leicht entzündlich“ müssen nicht in der Kennzeichnung angegeben werden, wenn sie eine Wiederholung der Gefahrenbezeichnung des Gefahrensymboles darstellen.
- Umweltgefahren:
i)
R-Sätze, die dem Gefährlichkeitsmerkmal „umweltgefährlich“ zugeordnet sind, müssen in der Kennzeichnung angeführt werden,
ii)
wenn der R-Satz R 50 zusätzlich zu den kombinierten R-Sätzen R 51/ 53 oder R 52/53 oder zu dem R-Satz R 53 allein zugeordnet wurde, ist der kombinierte R-Satz R 50/53 zu verwenden.
In den meisten der Fälle werden bei Zubereitungen sechs R-Sätze ausreichend sein, um die Gefahren zu beschreiben. Fällt jedoch die Zubereitung in mehr als eine Gefahrenkategorie, so müssen durch die Standardsätze alle charakteristischen möglichen (wesentlichen) Gefahren abgedeckt werden. In bestimmten Fällen können daher mehr als sechs R-Sätze erforderlich sein.
7.5. Sicherheitsratschläge
Der Wortlaut der S-Sätze hat den Angaben in Anhang A Punkt 3.1 zu entsprechen. Gegebenenfalls sind die in Anhang A Punkt 3.1.1 genannten Kombinationen von S-Sätzen zu verwenden.
7.5.1. Für Stoffe, die im Anhang I der Richtlinie 67/548/EWG angeführt sind, gelten die dort genannten S-Sätze. Sind keine S-Sätze angegeben, so hat der gemäß § 27 ChemG 1996 Verantwortliche den/die jeweils angemessenen S-Satz/Sätze hinzuzufügen. Für Stoffe, die nicht in Anhang I der Richtlinie 67/548/EWG genannt sind, und für Zubereitungen hat der Hersteller die jeweiligen S-Sätze nach den im Punkt 6 dieses Anhangs festgelegten Kriterien anzugeben.
7.5.2. Wahl der S-Sätze
Bei der endgültigen Auswahl der Sicherheitsratschläge muss den R-Sätzen in der Kennzeichnung und dem vorhergesehenen Gebrauch des Stoffes oder der Zubereitung Rechnung getragen werden:
- In den meisten der Fälle werden daher nicht mehr als sechs S-Sätze erforderlich sein, um die geeignetsten Sicherheitsratschläge erteilen zu können; zu diesem Zweck werden die im Anhang A Punkt 3.1.1 angegebenen Kombinationen von Sätzen als je ein Satz betrachtet; in bestimmten Fällen werden jedoch auch mehr als sechs S-Sätze notwendig sein.
- Im Fall von S-Sätzen, die sich auf die Beseitigung beziehen, ist ein S-Satz in der Kennzeichnung anzuführen, es sei denn, die Beseitigung des Produktes und seines Behälters stellt eindeutig keine Gefahren für die Gesundheit des Menschen oder die Umwelt dar. Insbesondere sind Ratschläge zur sicheren Beseitigung für Stoffe und Zubereitungen wichtig, wenn sie für die allgemeine Öffentlichkeit bestimmt sind.
- Bei einer sorgfältigen Auswahl der S-Sätze werden einige R-Sätze überflüssig und umgekehrt; S-Sätze, die offensichtlich R-Sätzen entsprechen, sollten nur dann in der Kennzeichnung angeführt werden, wenn sie einer spezifischen Warnung besonderen Nachdruck verleihen sollen.
- Bei der Auswahl der S-Sätze ist den vorhersehbaren Bedingungen bei der Verwendung bestimmter Stoffe und Zubereitungen besondere Aufmerksamkeit zu widmen, z.B. beim Versprühen oder bei anderen Vorgängen, bei denen Aerosole entstehen können; die S-Sätze sollten unter Beachtung des vorgesehenen Gebrauchs ausgewählt werden.
- Die S-Sätze S 1, S 2 und S 45 sind für alle sehr giftigen, giftigen und ätzenden Stoffe und Zubereitungen obligatorisch, wenn sie für die allgemeine Öffentlichkeit bestimmt sind.
- Die S-Sätze S 2 und S 46 sind für alle anderen gefährlichen Stoffe und Zubereitungen (außer denen, die lediglich als „umweltgefährlich“ eingestuft wurden) obligatorisch, wenn sie für die allgemeine Öffentlichkeit bestimmt sind.
Führen die nach den Kriterien des Punktes 6.2 ausgewählten S-Sätze zu Redundanz oder Zweideutigkeiten oder sind diese für ein spezifisches Produkt oder eine Verpackung eindeutig unnötig, so können diese gestrichen werden.
7.6. EG-Nummer
Ist ein in der Kennzeichnung genannter Stoff im Europäischen Verzeichnis der auf dem Markt vorhandenen chemischen Stoffe (EINECS) oder in der Europäischen Liste der angemeldeten chemischen Stoffe (ELINCS) enthalten, ist die EINECS- bzw. ELINCS-Nummer des Stoffes auf der Kennzeichnung anzugeben. Diese Bestimmung gilt nicht für Zubereitungen.
8. SONDERFÄLLE: STOFFE
8.1. Ortsbewegliche Gasbehälter
Für ortsbewegliche Gasbehälter gelten die Anforderungen der Kennzeichnung als erfüllt, wenn sie gemäß dem § 13 in Verbindung mit § 14 oder gemäß § 21 Abs. 2 gekennzeichnet werden oder den nachstehenden Anforderungen entsprechen:
Abweichend von § 20 Abs. 1 und 2 können bei Gasflaschen mit einer Wasserkapazität von bis zu 150 l eine der folgenden Möglichkeiten benutzt werden:
- Format und Abmessung des Kennzeichnungsschildes können den Anforderungen der ÖNORM EN 1089-2, ausgegeben am 1. Jänner 1997, entsprechen.
- Die in § 14 aufgezählten Angaben in einer Kennzeichnung können dauerhaft auf einer Informationsplakette oder auf einem mit der Gasflasche fest verbundenen Kennzeichnungsschild angebracht werden.
8.2. Gasbehälter für Propan, Butan oder Flüssiggas (LPG – liquefied petroleum gas)
Propan, Butan und Flüssiggas sind im Anhang I der Richtlinie 67/548/EWG eingestuft. Obwohl sie gemäß § 3 Abs. 1 ChemG 1996 als „gefährlich“ eingestuft sind, stellen sie für den Menschen keine Gesundheitsgefährdung dar, wenn sie in verschlossenen nachfüllbaren Zylindern oder nicht nachfüllbaren Kartuschen entsprechend der ÖNORM EN 417, ausgegeben am 1. August 1993, als Brenngase, die nur zur Verbrennung freigesetzt werden, in Verkehr gesetzt werden.
Diese Zylinder und Kartuschen müssen mit dem ihrer Entzündlichkeit entsprechenden Gefahrensymbol und den zugehörigen R- und S-Sätzen versehen sein. In der Kennzeichnung ist keine Angabe über die Wirkungen auf die menschliche Gesundheit erforderlich. Die Informationen über die Auswirkungen auf die Gesundheit, die in der Kennzeichnung hätten angegeben werden sollen, sind jedoch von einem gemäß § 27 ChemG 1996 Verantwortlichen in einem Sicherheitsdatenblatt gemäß § 25 den berufsmäßigen Benützern zu übermitteln. Den nicht berufsmäßigen Benützern sind ausreichende Informationen zu übermitteln, damit sie die gemäß § 25 Abs. 2 erforderlichen Maßnahmen für den Gesundheitsschutz und die Sicherheit ergreifen können.
8.3. Metalle in kompakter Form
Diese Stoffe sind im Anhang I der Richtlinie 67/548/EWG eingestuft oder werden gemäß § 4 Abs. 5 eingestuft. Einige dieser Stoffe stellen allerdings in der Form, in der sie in Verkehr gesetzt werden, keine Gefahr für die Gesundheit des Menschen durch Einatmen, Verschlucken oder Hautkontakt oder keine Gefahr für die aquatische Umwelt dar, obwohl sie als „gefährlich“ gemäß § 3 Abs. 1 ChemG 1996 eingestuft worden sind. Für solche Stoffe ist keine Kennzeichnung gemäß § 14 erforderlich. Allerdings hat derjenige (§ 27 ChemG 1996 Verantwortliche), der diese Metalle in Verkehr setzt, dem Verwender alle Informationen, die in der Kennzeichnung hätten angeführt werden müssen, in einem Sicherheitsdatenblatt gemäß § 25 zu übermitteln.
8.4. Gesundheitsschädliche Stoffe eingestuft mit R 65
Die Einstufung eines Stoffes auf Grund einer Aspirationsgefahr als „gesundheitsschädlich“ erfordert keine Kennzeichnung als „gesundheitsschädlich“ mit dem R-Satz R 65, wenn sie in Aerosolpackungen oder Behältern mit versiegelter Sprühvorrichtung in Verkehr gesetzt werden.
9. SONDERFÄLLE: ZUBEREITUNGEN
9.1. Gasförmige Zubereitungen (Gasgemische)
Bei gasförmigen Zubereitungen ist folgendes zu beachten:
- Bewertung der physikalisch-chemischen Eigenschaften.
- Bewertung der Gesundheitsgefahren.
- Bewertung der Umweltgefahren
9.1.1. Bewertung der physikalisch – chemischen Eigenschaften
9.1.1.1. Entzündlichkeit
Die entzündlichen Eigenschaften dieser Zubereitungen werden nach dem gemäß § 6 festgelegten Verfahren bestimmt.
Die Zubereitungen werden nach den Ergebnissen der durchgeführten Prüfungen und entsprechend den Kriterien der Verordnung (EG) Nr. 440/2008, ABl. Nr. L 142 vom 31.05.2008 S. 1 und den Kriterien des Anhangs B eingestuft. (BGBl II 393/2008)
Abweichend hiervon kann in Fällen, in denen gasförmige Zubereitungen auf Bestellung in geringen Mengen hergestellt werden (§ 6 Z 1 lit. b), die Entzündlichkeit dieser Gasgemische nach der folgenden Berechnungsmethode ermittelt werden:
Die Darstellung des Gasgemisches
A1 F1 + … + Ai Fi +… An Fn + B1 I1 + … + Bi Ii + … Bp Ip
wobei: Ai und Bi die molaren Anteile
Fi das entzündliche Gas
Ii das inerte Gas
n die Anzahl der entzündlichen Gase
p die Anzahl der inerten Gase
sind,
kann so umgeformt werden, dass alle Ii (inerten Gase) durch ein Stickstoff-Äquivalent ausgedrückt werden, bei dem ein Koeffizient Ki verwendet wird und der äquivalente Gehalt an entzündlichem Gas A’i durch folgende Berechnungsformel ausgedrückt wird:

Durch Verwendung des Wertes für den maximalen Gehalt eines entzündliche Gases, das in einem Gemisch mit Stickstoff eine Zusammensetzung ergibt, die an der Luft nicht entzündlich ist (Tci), erhält man die folgende Gleichung:

Das Gasgemisch ist entzündlich, wenn der Wert der vorstehenden Gleichung größer als 1 ist; die Zubereitung wird als „hochentzündlich“ eingestuft und mit dem R-Satz R 12 versehen.
Äquivalenzkoeffizienten (Ki)
Die Werte der Äquivalenzkoeffizienten (Ki) zwischen den inerten Gasen und Stickstoffen und die Werte des maximalen Gehalts an entzündlichem Gas (Tci) sind den Tabellen 1 und 2 der ÖNORM EN 720-2, ausgegeben am 1. November 1996, zu entnehmen.
Maximaler Gehalt an entzündlichem Gas (Tci)
Der Wert des maximalen Gehalts an entzündlichem Gas (Tci) ist der Tabelle 2 der ÖNORM EN 720-2, ausgegeben am 1. November 1996, zu entnehmen. Ist in der oben genannten Norm für ein entzündliches Gas kein Tci-Wert angegeben, wird der entsprechende untere Explosionsgrenzwert (LEL = lower explosivity limit) verwendet. Existiert kein LEL-Wert, so wird der Tci-Wert auf 1 % des Volumens festgelegt.
Bemerkungen
- Zwar kann die genannte Gleichung verwendet werden, um eine ordnungsgemäße Kennzeichnung zu ermöglichen, sie kann jedoch nicht als Ersatz für Versuche zur Bestimmung der sicherheitstechnische Parameter angesehen werden.
- Darüber hinaus gibt die Gleichung keine Information darüber, ob ein Gemisch mit brandfördernden Gasen sicher hergestellt werden kann. Bei der Beurteilung der Entzündlichkeit werden die brandfördernden Gase nicht berücksichtigt.
- Die genannte Gleichung führt nur dann zu verläßlichen Ergebnissen, wenn die entzündlichen Gase sich nicht gegenseitig in ihrer Entzündlichkeit beeinflussen. Dies ist z.B. bei halogenierten Kohlenwasserstoffen zu berücksichtigen.
9.1.1.2. Brandfördernde Eigenschaften
Da die Verordnung (EG) Nr. 440/2008, ABl. Nr. L 142 vom 31.05.2008 S. 1 kein Verfahren zur Bestimmung der brandfördernden Eigenschaften von Gasgemischen enthält, ist die Bewertung dieser Eigenschaften nach dem folgenden Berechnungsverfahren durchzuführen. Das Grundprinzip des Verfahrens besteht im Vergleich der brandfördernden Wirkung von Gasen in einem Gemisch mit der brandfördernden Wirkung von Sauerstoff in der Luft. Die Konzentrationen der Gase in dem Gemisch werden in Volumenprozenten ausgedrückt. (BGBl II 393/2008)
Es wird davon ausgegangen, dass ein Gasgemisch genauso oder stärker brandfördernd ist wie Luft, wenn die folgende Bedingung erfüllt ist:

Dabei ist:
Xi die Konzentration des Gases i in Volumenprozenten,
Ci der Koeffizient der Sauerstoff-Äquivalenz
In diesem Fall wird die Zubereitung als „brandfördernd“ eingestuft und mit R 8 gekennzeichnet.
Äquivalenzkoeffizienten zwischen brandfördernden Gasen und Sauerstoff
Die bei der Berechnung der brandfördernden Wirkung bestimmter Gase in einem Gemisch bezogen auf die brandfördernde Wirkung von Sauerstoff in der Luft verwendeten Koeffizienten, die in Abschnitt 5.3 der ÖNORM EN 720-2, ausgegeben am 1. November 1996, angeführt sind, lauten wie folgt:
für O2: 1 und für N2O: 0,6
Wenn in der vorgenannten ÖNORM ein Ci-Koeffizient nicht genannt ist, wird dem Koeffizient der Wert 40 zugeordnet.
9.1.2. Kennzeichnung
Für ortsbewegliche Gasbehälter gelten die Anforderungen der Kennzeichnung als erfüllt, wenn sie gemäß § 13 in Verbindung mit § 15 oder gemäß § 21 Abs. 2 gekennzeichnet werden oder den nachstehenden Anforderungen entsprechen:
Abweichend von § 20 Abs. 1 und 2 können bei Gasflaschen, mit einer
Wasserkapazität von bis zu 150 l, Format und Abmessung des Kennzeichnungsschildes auch den Anforderungen der ÖNORM EN 1089-2, ausgegeben am 1. Jänner 1997, entsprechen. In diesem Fall kann in der Kennzeichnung der Gattungsname oder die Industrie-/Handelsbezeichnung der Zubereitung angeführt sein, vorausgesetzt, dass die gefährlichen Bestandteile der Zubereitung auf der Gasflasche eindeutig und unverwischbar angegeben sind.
Die in § 15 aufgezählten Angaben in einer Kennzeichnung können dauerhaft auf einer Informationsplakette oder auf einem mit der Gasflasche fest verbundenen Kennzeichnungsschild angebracht werden.
9.2. Gasbehälter für Zubereitungen, die odoriertes Propan, Butan oder Flüssiggas (LPG – liquefied petroleum gas) enthalten
Propan, Butan und Flüssiggas sind im Anhang I der Richtlinie 67/548/EWG eingestuft. Zubereitungen, die diese Stoffe enthalten, sind zwar gemäß den §§ 5ff einzustufen, doch stellen sie für den Menschen keine Gesundheitsgefährdung dar, wenn sie in verschlossenen nachfüllbaren Zylindern oder nicht nachfüllbaren Kartuschen entsprechend der ÖNORM EN 417, ausgegeben am 1. August 1993, als Brenngase, die nur zur Verbrennung freigesetzt werden, in den Verkehr gesetzt werden.
Diese Zylinder und Kartuschen müssen mit dem ihrer Entzündlichkeit entsprechenden Gefahrensymbol und den zugehörigen R- und S-Sätzen versehen sein. In der Kennzeichnung ist keine Angabe über die Wirkungen auf die menschliche Gesundheit erforderlich. Die Informationen über die Auswirkungen auf die Gesundheit, die in der Kennzeichnung hätten angegeben werden sollen, sind jedoch von einem gemäß § 27 ChemG 1996 Verantwortlichen in einem Sicherheitsdatenblatt gemäß § 25 den berufsmäßigen Benützern zu übermitteln. Den nicht berufsmäßigen Benützern sind ausreichende Informationen zu übermitteln, damit sie die gemäß § 25 Abs. 2 erforderlichen Maßnahmen für den Gesundheitsschutz und die Sicherheit ergreifen können.
9.3. Legierungen und Zubereitungen, die Polymere bzw. Elastomere enthalten
Diese Zubereitungen werden gemäß den §§ 5ff eingestuft und gemäß den §§ 13, 15 und 16 gekennzeichnet.
Einige dieser Zubereitungen sind zwar als „gefährlich“ gemäß § 3 Abs. 1 ChemG 1996 eingestuft, stellen jedoch in der Form, in der sie in den Verkehr gesetzt werden, beim Einatmen, Verschlucken oder Hautkontakt keine Gesundheitsgefährdung dar. Für diese Zubereitungen ist eine Kennzeichnung gemäß § 15 nicht erforderlich; jedoch sind von einem gemäß § 27 ChemG 1996 Verantwortlichen dem Abnehmer über ein Informationssystem alle Daten, die sonst in der Kennzeichnung stehen würden, in einem Sicherheitsdatenblatt gemäß § 25 zu übermitteln.
9.4. Gesundheitsschädliche Zubereitungen eingestuft mit R 65
Die Einstufung einer Zubereitung auf Grund einer Aspirationsgefahr als „gesundheitsschädlich“ erfordert keine Kennzeichnung als „gesundheitsschädlich“ mit dem R-Satz R 65, wenn sie in Aerosolpackungen oder Behältern mit versiegelter Sprühvorrichtung in Verkehr gesetzt werden.
9.5. Organische Peroxide
Organische Peroxide verbinden die Eigenschaften eines brandfördernden und brennbaren Stoffes in einem Molekül: Wenn ein organisches Peroxid zerfällt, reagiert der brandfördernde Teil des Moleküles exotherm mit dem brennbaren (brandfähigen) Teil. Für die Ermittlung der brandfördernden Eigenschaften von organischen Peroxiden können die in der Verordnung (EG) Nr. 440/2008, ABl. Nr. L 142 vom 31.05.2008 S. 1 verfügbaren Methoden nicht angewandt werden. (BGBl II 393/2008)
Das folgende Berechnungsverfahren auf der Grundlage des vorhandenen aktiven Sauerstoffs ist zu verwenden.
Der verfügbare Sauerstoffgehalt ( %) einer organischen Peroxidverbindung wird durch folgende Formel ausgedrückt:

Dabei ist:
ni Anzahl der Peroxidgruppen pro Molekül des organischen Peroxids i,
ci Konzentration (in Masseprozent) des organischen Peroxids i,
mi relative Molekülmasse des organischen Peroxids i.
10. Liste der krebserzeugenden Stoffe gemäß § 25 Abs. 11, die als Bestandteile von Zubereitungen eine gesonderte Angabe in einem Sicherheitsdatenblatt gemäß § 25 in Verbindung mit Anhang F Punkt 2 lit. b erfordern:
6-Amino-2-ethoxynaphthalin | 0,01 |
o-Aminoazotoluol | 0,01 |
4-Aminobiphenyl und seine Salze | 0,01 |
Alpha,alpha,alpha-trichlor-toluol | 0,01 |
Benzidin und seine Salze | 0,01 |
Benzo[a]pyren | 0,005 |
Bis(chlormethylether) | 0,0005 |
2,4-Butansulton | 0,01 |
Cadmiumchlorid (in atembarer Form) | 0,01 |
Chlormethyl-methylether | 0,01 |
4-Chlor-o-toluidin | 0,01 |
1,4-Dichlorbuten-2 | 0,01 |
2,2’-Dichlordiethylsulfid | 0,01 |
3,3’-Dimethoxybenzidin und seine Salze | 0,05 |
3,3’-Dimethylbenzidin und seine Salze | 0,05 |
Dimethylcarbamoylchlorid | 0,0005 |
1,2-Dimethylhydrazin | 0,01 |
Hexamethylphosphorsäuretriamid | 0,0005 |
p-Kresidin | 0,01 |
N-Methyl-bis(2-chlorethyl)amin | 0,01 |
2-Naphthylamin und seine Salze | 0,01 |
4-Nitrodiphenyl | 0,01 |
N-Nitrosodiethanolamin | 0,0005 |
N-Nitrosodiethylamin | 0,0001 |
N-Nitrosodimethylamin | 0,0001 |
N-Nitrosodi-n-butylamin | 0,0001 |
N-Nitrosodi-n-propylamin | 0,0001 |
N-Nitrosodi-i-propylamin | 0,0005 |
N-Nitrosoethylphenylamin | 0,0001 |
N-Nitrosomethylethylamin | 0,0001 |
N-Nitrosomethylphenylamin | 0,0001 |
N-Nitrosomorpholin | 0,0001 |
N-Nitrosopiperidin | 0,0001 |
N-Nitrosopyrrolidin | 0,0005 |
1,3-Propansulton | 0,01 |
2,3,7,8-Tetrachlordibenzo-p-dioxin | 0,0000002 |
Tetranitromethan | 0,001 |
1,2,3-Trichlorpropan | 0,01 |