Über 500 Fachinfos zu Brandvorbeugung und Brandabwehr, 100 Mustervorlagen, interaktive Tools
» Mehr Infos zum Portal Brandschutz
Chemikalienverordnung 1999 (ChemV 1999)
Teil 2 –
Konventionelle Methode gemäß § 7 Abs. 1 Z 1 für die Einstufung von Zubereitungen, die Stoffe mit gefährlichen Eigenschaften gemäß § 3 Abs. 1 Z 6 bis 14 ChemG 1996 enthalten
Bei der Beurteilung ist schrittweise wie folgt vorzugehen:
- Als „sehr giftig“ sind einzustufen:
i)
auf Grund ihrer akut letalen Wirkungen die Zubereitungen mit Zuordnung des Gefahrensymbols „T+“, der Gefahrenbezeichnung „sehr giftig“ und den R-Sätzen R 26, R 27 oder R 28, die einen oder mehrere als sehr giftig eingestufte Stoffe in einer Einzelkonzentration enthalten, die mindestens so hoch ist wie:
die im Anhang I der Richtlinie 67/548/EWG festgelegte Einzelkonzentration in bezug auf den (die) betreffenden Stoff(e) oder
die unter Nummer 1 des Anhangs B Teil 3 (Tabelle I oder I A) festgelegte Einzelkonzentration, wenn der (die) betreffende(n) Stoff(e) im Anhang I der Richtlinie 67/548/EWG nicht oder ohne Konzentrationsgrenzen angeführt ist (sind);
ii)
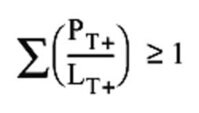
auf Grund ihrer akut letalen Wirkungen die Zubereitungen mit Zuordnung des Gefahrensymbols „T+“, der Gefahrenbezeichnung „sehr giftig“ und den R-Sätzen R 26, R 27 oder R 28, die mehrere als sehr giftig eingestufte Stoffe in einer Einzelkonzentration enthalten, die die im Anhang I der Richtlinie 67/548/EWG oder unter Nummer 1 des Anhangs B Teil 3 (Tabelle I oder I A) festgelegten Grenzwerte nicht überschreitet, wenn die Summe der Quotienten, die durch Division des Gewichtsprozentsatzes jedes in der Zubereitung enthaltenen sehr giftigen Stoffes durch den für diesen Stoff festgelegten Grenzwert erhalten wird, größer als oder gleich 1 ist, dh.:

Dabei ist:
PT+ der Gewichts- oder Volumenprozentsatz jedes sehr giftigen Stoffes in der Zubereitung,
LT+ der für jeden sehr giftigen Stoff festgelegte Konzentrationsgrenzwert für die Einstufung als sehr giftig in Gewichts- oder Volumenprozent;iii)
auf Grund ihrer irreversiblen nichtletalen Wirkungen nach einer einzigen Exposition die Zubereitungen mit Zuordnung des Gefahrensymbols „T+“, der Gefahrenbezeichnung „sehr giftig“ und dem R-Satz R 39/Expositionsweg, die einen oder mehrere gefährliche Stoffe mit solchen Wirkungen in einer Einzelkonzentration enthalten, die mindestens so hoch ist wie:
die im Anhang I der Richtlinie 67/548/EWG festgelegte Einzelkonzentration in bezug auf den (die) betreffenden Stoff(e) oder
die unter Nummer 2 des Anhangs B Teil 3 (Tabelle II oder II A) festgelegte Einzelkonzentration, wenn der (die) betreffende(n) Stoff(e) im Anhang I der Richtlinie 67/548/EWG nicht oder ohne Konzentrationsgrenzen angeführt ist (sind).
- Als „giftig“ sind einzustufen:
i)
auf Grund ihrer akut letalen Wirkungen die Zubereitungen mit Zuordnung des Gefahrensymbols „T“, der Gefahrenbezeichnung „giftig“ und den R- Sätzen R 23, R 24 oder R 25, die einen oder mehrere als sehr giftig oder giftig eingestufte Stoffe in einer Einzelkonzentration enthalten, die mindestens so hoch ist wie:
die im Anhang I der Richtlinie 67/548/EWG festgelegte Einzelkonzentration in bezug auf den (die) betreffenden Stoff(e) oder
die unter Nummer 1 des Anhangs B Teil 3 (Tabelle I oder I A) festgelegte Einzelkonzentration, wenn der (die) betreffende(n) Stoff(e) im Anhang I der Richtlinie 67/548/EWG nicht oder ohne Konzentrationsgrenzen angeführt ist (sind);
ii)
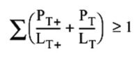
auf Grund ihrer akut letalen Wirkungen die Zubereitungen mit Zuordnung des Gefahrensymbols „T“, der Gefahrenbezeichnung „giftig“ und den R- Sätzen R 23, R 24 oder R 25, die mehrere als sehr giftig oder giftig eingestufte Stoffe in einer Einzelkonzentration enthalten, die die im Anhang I der Richtlinie 67/548/EWG oder unter Nummer 1 des Anhangs B Teil 3 (Tabelle I oder I A) festgelegten Grenzwerte nicht überschreitet, wenn die Summe der Quotienten, die durch Division des Gewichtsprozentsatzes jedes in der Zubereitung enthaltenen Stoffes durch den für diesen Stoff festgelegten Grenzwert der Giftigkeit erhalten wird, größer als oder gleich 1 ist, dh.:

Dabei ist:
PT+ der Gewichts- oder Volumenprozentsatz jedes sehr giftigen Stoffes in der Zubereitung,
PTder Gewichts- oder Volumenprozentsatz jedes giftigen Stoffes in der Zubereitung,
LTder für jeden sehr giftigen oder giftigen Stoff festgelegte Konzentrationsgrenzwert für die Einstufung als giftig in Gewichts- oder Volumenprozent;iii)
auf Grund ihrer irreversiblen nichtletalen Wirkungen nach einer einzigen Exposition die Zubereitungen mit Zuordnung des Gefahrensymbols „T“, der Gefahrenbezeichnung „giftig“ und dem R-Satz R 39/Expositionsweg, die einen oder mehrere gefährliche Stoffe mit solchen Wirkungen in einer Einzelkonzentration aufweisen, die mindestens so hoch ist wie:
die im Anhang I der Richtlinie 67/548/EWG festgelegte Einzelkonzentration in bezug auf den (die) betreffenden Stoff(e) oder
die unter Nummer 2 des Anhangs B Teil 3 (Tabelle II oder II A) festgelegte Einzelkonzentration, wenn der (die) betreffende(n) Stoff(e) im Anhang I der Richtlinie 67/548/EWG nicht oder ohne Konzentrationsgrenzen angeführt ist (sind);
iv)
auf Grund ihrer langfristigen Wirkungen die Zubereitungen mit Zuordnung des Gefahrensymbols „T“, der Gefahrenbezeichnung „giftig“ und dem R-Satz R 48/Expositionsweg, die einen oder mehrere gefährliche Stoffe mit solchen Wirkungen in einer Einzelkonzentration enthalten, die mindestens so hoch ist wie:
die im Anhang I der Richtlinie 67/548/EWG festgelegte Einzelkonzentration in bezug auf den (die) betreffenden Stoff(e) oder
die unter Nummer 3 des Anhangs B Teil 3 (Tabelle III oder III A) festgelegte Einzelkonzentration, wenn der (die) betreffende(n) Stoff(e) im Anhang I der Richtlinie 67/548/EWG nicht oder ohne Konzentrationsgrenzen angeführt ist (sind).
- Als „gesundheitsschädlich“ sind einzustufen:
i)
auf Grund ihrer akut letalen Wirkungen die Zubereitungen mit Zuordnung des Gefahrensymbols „Xn“, der Gefahrenbezeichnung „gesundheitsschädlich“ und den R-Sätzen R 20, R 21 oder R 22, die einen oder mehrere als sehr giftig, giftig oder gesundheitsschädlich eingestufte Stoffe in einer Einzelkonzentration enthalten, die mindestens so hoch ist wie:
die im Anhang I der Richtlinie 67/548/EWG festgelegte Einzelkonzentration in bezug auf den (die) betreffenden Stoff(e) oder
die unter Nummer 1 des Anhangs B Teil 3 (Tabelle I oder I A) festgelegte Einzelkonzentration, wenn der (die) betreffende(n) Stoff(e) im Anhang I der Richtlinie 67/548/EWG nicht oder ohne Konzentrationsgrenzen angeführt ist (sind);
ii)
auf Grund ihrer akut letalen Wirkungen die Zubereitungen mit Zuordnung des Gefahrensymbols „Xn“, der Gefahrenbezeichnung „gesundheitsschädlich“ und den R-Sätzen R 20, R 21 oder R 22, die mehrere als sehr giftig, giftig oder gesundheitsschädlich eingestufte Stoffe in einer Einzelkonzentration enthalten, die die im Anhang I der Richtlinie 67/548/EWG oder unter Nummer 1 des Anhangs B Teil 3 (Tabelle I oder I A) festgelegten Grenzwerte nicht überschreitet, wenn die Summe der Quotienten, die durch Division des Gewichtsprozentsatzes jedes in der Zubereitung enthaltenen Stoffes durch den für diesen Stoff festgelegten Grenzwert der Gesundheitsschädlichkeit erhalten wird, größer als oder gleich 1 ist, dh.:

Dabei ist:
PT+der Gewichts- oder Volumenprozentsatz jedes sehr giftigen Stoffes in der Zubereitung,
PTder Gewichts- oder Volumenprozentsatz jedes giftigen Stoffes in der Zubereitung,
PXnder Gewichts- oder Volumenprozentsatz jedes gesundheitsschädlichen Stoffes in der Zubereitung,
LXnder für jeden als sehr giftig, giftig oder gesundheitsschädlich eingestuften Stoff festgelegte Konzentrationsgrenzwert für die Einstufung als gesundheitsschädlich in Gewichts- oder Volumenprozent;iii)
auf Grund ihrer bei Verschlucken akuten Wirkung auf die Lunge die Zubereitungen mit Zuordnung des Gefahrensymbols „Xn“, der Gefahrenbezeichnung „gesundheitsschädlich“ und des R-Satzes R 65. Zubereitungen, die eine Aspirationsgefahr darstellen (R 65) werden gemäß den Kriterien in Punkt 3.2.3. des Anhangs B Teil 1 eingestuft. Bei der Anwendung der konventionellen Methode gemäß Teil 2 des Anhangs B lit. c Z i) und ii) ist ein Stoff eingestuft als „gesundheitsschädlich“ mit R 65 nicht berücksichtigt.
iv)
auf Grund ihrer irreversiblen nichtletalen Wirkungen nach einer einzigen Exposition die Zubereitungen mit Zuordnung des Gefahrensymbols „Xn“, der Gefahrenbezeichnung „gesundheitsschädlich“ und dem R-Satz R 68 „Expositionsweg“, die einen oder mehrere gefährliche Stoffe mit solchen Wirkungen in einer Einzelkonzentration enthalten, die mindestens so hoch ist wie:
die im Anhang I der Richtlinie 67/548/EWG festgelegte Einzelkonzentration in bezug auf den (die) betreffenden Stoff(e) oder
die unter Nummer 2 des Anhangs B Teil 3 (Tabelle II oder II A) festgelegte Einzelkonzentration, wenn der (die) betreffende(n) Stoff(e) im Anhang I der Richtlinie 67/548/EWG nicht oder ohne Konzentrationsgrenzen angeführt ist (sind);
v)
auf Grund ihrer langfristigen Wirkungen die Zubereitungen mit Zuordnung des Gefahrensymbols „Xn“, der Gefahrenbezeichnung „gesundheitsschädlich“ und dem R-Satz R 48/Expositionsweg, die einen oder mehrere gefährliche Stoffe mit solchen Wirkungen in einer Einzelkonzentration enthalten, die mindestens so hoch ist wie:
die im Anhang I der Richtlinie 67/548/EWG festgelegte Einzelkonzentration in bezug auf den (die) betreffenden Stoff(e) oder
die unter Nummer 3 des Anhangs B Teil 3 (Tabelle III oder III A) festgelegte Einzelkonzentration, wenn der (die) betreffende(n) Stoff(e) im Anhang I der Richtlinie 67/548/EWG nicht oder ohne Konzentrationsgrenzen angeführt ist (sind).
- Als „ätzend“ mit R 35 sind einzustufen:
i)
die Zubereitungen, die einen oder mehrere als ätzend eingestufte Stoffe, denen das Gefahrensymbol „C“, die Gefahrenbezeichnung „ätzend“ und der R-Satz R 35 zugeordnet wurde, in einer Einzelkonzentration enthalten, die mindestens so hoch ist wie:
die im Anhang I der Richtlinie 67/548/EWG festgelegte Einzelkonzentration in bezug auf den (die) betreffenden Stoff(e) oder
die unter Nummer 4 des Anhangs B Teil 3 (Tabelle IV oder IV A) festgelegte Einzelkonzentration, wenn der (die) betreffende(n) Stoff(e) im Anhang I der Richtlinie 67/548/EWG nicht oder ohne Konzentrationsgrenzen angeführt ist (sind);
ii)
die Zubereitungen, die mehrere als ätzend eingestufte Stoffe, denen das Gefahrensymbol „C“, die Gefahrenbezeichnung „ätzend“ und der R-Satz R 35 zugeordnet wurde, in einer Einzelkonzentration enthalten, die die im Anhang I der Richtlinie 67/548/EWG oder unter Nummer 4 des Anhangs B Teil 3 (Tabelle IV oder IV A) festgelegten Grenzwerte nicht überschreitet, wenn die Summe der Quotienten, die durch Division des Gewichtsprozentsatzes jedes in der Zubereitung enthaltenen ätzenden Stoffes durch den für diesen Stoff festgelegten Grenzwert der Ätzung enthalten wird, größer als oder gleich 1 ist, dh.:

Dabei ist:
PC,R35der Gewichts- oder Volumenprozentsatz jedes ätzenden Stoffes in der Zubereitung, dem die Standardaufschrift R 35 zugeteilt wurde,
PC,R35der für jeden ätzenden Stoff mit R 35 festgelegte Konzentrationsgrenzwert für die Einstufung als ätzend in Gewichts- oder Volumenprozent. - Als „ätzend“ mit R 34 sind einzustufen:
i)
die Zubereitungen, die einen oder mehrere als ätzend eingestufte Stoffe, denen das Gefahrensymbol „C“, die Gefahrenbezeichnung „ätzend“ und den R-Sätzen R 35 oder R 34 zugeordnet wurden, in einer Einzelkonzentration enthalten, die mindestens so hoch ist wie:
die im Anhang I der Richtlinie 67/548/EWG festgelegte Einzelkonzentration in bezug auf den (die) betreffenden Stoff(e) oder
die unter Nummer 4 des Anhangs B Teil 3 (Tabelle IV oder IV A) festgelegte Einzelkonzentration, wenn der (die) betreffende(n) Stoff(e) im Anhang I der Richtlinie 67/548/EWG nicht oder ohne Konzentrationsgrenzen angeführt ist (sind);
ii)
die Zubereitungen, die mehrere als ätzend eingestufte Stoffe, denen das Gefahrensymbol „C“, die Gefahrenbezeichnung „ätzend“ und den R-Sätzen R 35 oder R 34 zugeordnet wurden, in einer Einzelkonzentration enthalten, die die im Anhang I der Richtlinie 67/548/EWG oder unter Nummer 4 des Anhangs B Teil 3 (Tabelle IV oder IV A) festgelegten Grenzwerte nicht überschreitet, wenn die Summe der Quotienten, die durch Division des Gewichtsprozentsatzes jedes in der Zubereitung enthaltenen ätzenden Stoffes durch den für diesen Stoff festgelegten Grenzwert der Ätzung erhalten wird, größer als oder gleich 1 ist, dh.:

Dabei ist:
PC,R35der Gewichts- oder Volumenprozentsatz jedes ätzenden Stoffes in der Zubereitung, dem die Standardaufschrift R 35 zugeteilt wurde,
PC,R34der Gewichts- oder Volumenprozentsatz jedes ätzenden Stoffes in der Zubereitung, dem die Standardaufschrift R 34 zugeteilt wurde,
LC,R34der für jeden als ätzend eingestuften Stoff mit R 35 oder R 34 festgelegte Konzentrationsgrenzwert für die Einstufung als ätzend mit R 34. - Als „reizend“ mit R 41 „Gefahr ernster Augenschäden“ sind einzustufen:
i)
die Zubereitungen, die einen oder mehrere als reizend eingestufte Stoffe, denen das Gefahrensymbol „Xi“, die Gefahrenbezeichnung „reizend“ und der R-Satz R 41 zugeordnet wurde, in einer Einzelkonzentration enthalten, die mindestens so hoch ist wie:
die im Anhang I der Richtlinie 67/548/EWG festgelegte Einzelkonzentration in bezug auf den (die) betreffenden Stoff(e) oder
die unter Nummer 4 des Anhangs B Teil 3 (Tabelle IV) festgelegte Einzelkonzentration, wenn der (die) betreffende(n) Stoff(e) im Anhang I der Richtlinie 67/548/EWG oder ohne Konzentrationsgrenzen angeführt ist (sind);
ii)
die Zubereitungen, die mehrere als ätzend oder reizend eingestufte Stoffe, denen das Gefahrensymbol „Xi“, die Gefahrenbezeichnung „reizend“ und der R-Satz R 41 oder denen das Gefahrensymbol „C“, die Gefahrenbezeichnung „ätzend“ und die R-Sätze R 35 oder R 34 zugeordnet wurden, in einer Einzelkonzentration enthalten, die die im Anhang I der Richtlinie 67/548/EWG oder unter Nummer 4 des Anhangs B Teil 3 (Tabelle IV oder IV A) festgelegten Grenzwerte nicht überschreiten, wenn die Summe der Quotienten, die durch Division des Gewichtsprozentsatzes jedes in der Zubereitung enthaltenen Stoffes durch den für diesen Stoff festgelegten Grenzwert der Reizung erhalten wird, größer als oder gleich 1 ist, dh.:

Dabei ist:
PC,R35der Gewichts- oder Volumenprozentsatz jedes ätzenden Stoffes in der Zubereitung, dem die Standardaufschrift R 35 zugeteilt wurde,
PC,R34der Gewichts- oder Volumenprozentsatz jedes ätzenden Stoffes in der Zubereitung, dem die Standardaufschrift R 34 zugeteilt wurde,
Pxi,R41der Gewichts- oder Volumenprozentsatz jedes reizenden Stoffes in der Zubereitung, dem die Standardaufschrift R 41 zugeteilt wurde,
L xi,R41für jeden als ätzend eingestuften Stoff mit R 35 oder R 34 oder als reizend eingestuften Stoff mit R 41 festgelegte Konzentrationsgrenzwert für die Einstufung als reizend mit R 41 in Gewichts- oder Volumenprozent. - Als „reizend“ für die Haut mit Zuordnung des Gefahrensymbols „Xi“, der Gefahrenbezeichnung „reizend“ und des R-Satzes R 38 sind einzustufen:
i)
die Zubereitungen, die einen oder mehrere als ätzend mit den R-Sätzen R 35 oder R 34 oder als reizend mit dem R-Satz R 38 eingestufte Stoffe in einer Einzelkonzentration enthalten, die mindestens so hoch ist wie:
die im Anhang I der Richtlinie 67/548/EWG festgelegte Einzelkonzentration in bezug auf den (die) betreffenden Stoff(e) oder
die unter Nummer 4 des Anhangs B Teil 3 (Tabelle IV oder IV A) festgelegte Einzelkonzentration, wenn der (die) betreffende(n) Stoff(e) im Anhang I der Richtlinie 67/548/EWG nicht oder ohne Konzentrationsgrenzen angeführt ist (sind);
ii)
die Zubereitungen, die mehrere als ätzend mit dem R-Satz R 35 oder R 34 oder als reizend mit dem R-Satz R 38 eingestufte Stoffe, in einer Einzelkonzentration enthalten, die die im Anhang I der Richtlinie 67/548/EWG oder unter Nummer 4 des Anhangs B Teil 3 (Tabelle IV) festgelegten Grenzwerte nicht überschreitet, wenn die Summe der Quotienten, die durch Division des Gewichtsprozentsatzes jedes in der Zubereitung enthaltenen Stoffes durch den für diesen Stoff festgelegten Grenzwert der Reizung erhalten wird, größer als oder gleich 1 ist, dh.:

Dabei ist:
P C,R35der Gewichts- oder Volumenprozentsatz jedes ätzenden Stoffes in der Zubereitung, dem die Standardaufschrift R 35 zugeteilt wurde,
P C,R34der Gewichts- oder Volumenprozentsatz jedes ätzenden Stoffes in der Zubereitung, dem die Standardaufschrift R 34 zugeteilt wurde,
Pxi,R36der Gewichts- oder Volumenprozentsatz jedes reizenden Stoffes in der Zubereitung, dem die Standardaufschrift R 3 zugeteilt wurde,
Lxi,R38 für jeden ätzenden Stoff mit dem R-Satz R 35 oder R 34 oder für jeden reizenden Stoff mit dem R-Satz R 38 festgelegte Konzentrationsgrenzwert für die Einstufung als reizend mit R 38 in Gewichts- oder Volumenprozent. - Als „reizend“ für die Augen mit Zuordnung des Gefahrensymbols „Xi“, der Gefahrenbezeichnung „reizend“ und des R-Satzes R 36 sind einzustufen:
i)
die Zubereitungen, die einen oder mehrere als ätzend mit den R-Sätzen R 35 oder R 34 oder als reizend mit den R-Sätzen R 41 oder R 36 eingestufte Stoffe in einer Einzelkonzentration enthalten, die mindestens so hoch ist wie:
die im Anhang I der Richtlinie 67/548/EWG festgelegte Einzelkonzentration in bezug auf den (die) betreffenden Stoff(e) oder
die unter Nummer 4 des Anhangs B Teil 3 (Tabelle IV) festgelegte Einzelkonzentration, wenn der (die) betreffende(n) Stoff(e) im Anhang I der Richtlinie 67/548/EWG nicht oder ohne Konzentrationsgrenzen angeführt ist (sind);
ii)
die Zubereitungen, die mehrere als ätzend mit den R-Sätzen R 35 oder R 34 oder als reizend mit den R-Sätzen R 41 oder R 36 eingestufte Stoffe in einer Einzelkonzentration enthalten, die die im Anhang I der Richtlinie 67/548/EWG oder unter Nummer 4 des Anhangs B Teil 3 (Tabelle IV) festgelegten Grenzwerte nicht überschreitet, wenn die Summe der Quotienten, die durch Division des Gewichtsprozentsatzes jedes in der Zubereitung enthaltenen Stoffes durch den für diesen Stoff festgelegten Grenzwert der Reizung erhalten wird, größer als oder gleich 1 ist, dh.:

Dabei ist:
PC,R35 der Gewichts- oder Volumenprozentsatz jedes ätzenden Stoffes in der Zubereitung, dem die Standardaufschrift R 35 zugeteilt wurde,
PC,R34der Gewichts- oder Volumenprozentsatz jedes ätzenden Stoffes in der Zubereitung, dem die Standardaufschrift R 34 zugeteilt wurde,
PXi,R36der Gewichts- oder Volumenprozentsatz jedes reizenden Stoffes in der Zubereitung, dem die Standardaufschrift R 36 zugeteilt wurde,
LXi,R36für jeden ätzenden Stoff mit dem R-Satz R 35 oder R 34 oder für jeden reizenden Stoff mit dem R-Satz R 36 oder 41 festgelegte Konzentrationsgrenzwert für die Einstufung als reizend mit R 36 in Gewichts- oder Volumenprozent. - Als „reizend“ für die Atemwege mit Zuordnung des Gefahrensymbols „Xi“, der Gefahrenbezeichnung reizend und des R-Satzes R 37 sind einzustufen:
i)
die Zubereitungen, die einen oder mehrere als reizend mit dem R-Satz R 37 eingestufte Stoffe in einer Einzelkonzentration enthalten, die mindestens so hoch ist wie:
die im Anhang I der Richtlinie 67/548/EWG festgelegte Einzelkonzentration in bezug auf den (die) betreffenden Stoff(e) oder
die unter Nummer 4 des Anhangs B Teil 3 (Tabelle IV) festgelegte Einzelkonzentration, wenn der (die) betreffende(n) Stoff(e) im Anhang I der Richtlinie 67/548/EWG nicht oder ohne Konzentrationsgrenzen angeführt ist (sind);
ii)
die Zubereitungen, die mehrere als reizend eingestufte Stoffe, denen der R-Satz R 37 zugeordnet wurde, in einer Einzelkonzentration enthalten, die die im Anhang I der Richtlinie 67/548/EWG oder unter Nummer 4 des Anhangs B Teil 3 (Tabelle IV) festgelegten Grenzwerte nicht überschreitet, wenn die Summe der Quotienten, die durch Division des Gewichtsprozentsatzes jedes in der Zubereitung enthaltenen Stoffes durch den für diesen Stoff festgelegten Grenzwert der Reizung erhalten wird, größer als oder gleich 1 ist, dh.:

Dabei ist:
PXi,R37der Gewichts- oder Volumenprozentsatz jedes reizenden Stoffes in der Zubereitung, dem die Standardaufschrift R 37 zugeteilt wurde,
LXi,R37der für jeden reizenden Stoff mit dem R-Satz R 37 festgelegte Konzentrationsgrenzwert für die Einstufung als reizend mit R 37 in Gewichts- oder Volumenprozent;iii)
gasförmige Zubereitungen, die mehrere als ätzend mit dem R-Satz R 35 oder R 34 oder als reizend mit dem R-Satz R 37 eingestufte Stoffe in Einzelkonzentration enthalten, die die im Anhang I der Richtlinie 67/548/EWG oder unter Nummer 4 des Anhangs B Teil 3 (Tabelle IV A) festgelegten Grenzwerte nicht überschreitet, wenn die Summe der Quotienten, die durch Division des Gewichtsprozentsatzes jedes in der Zubereitung enthaltenen Stoffes durch den für diesen Stoff festgelegten Grenzwert der Reizung erhalten wird, größer als oder gleich 1 ist, dh.:

Dabei ist:
PC,R35der Volumenprozentsatz jedes ätzenden Stoffes in der Zubereitung, dem die Standardaufschrift R 35 zugeteilt wurde,
PC,R34der Volumenprozentsatz jedes ätzenden Stoffes in der Zubereitung, dem die Standardaufschrift R 34 zugeteilt wurde,
PXi,R37der Volumenprozentsatz jedes reizenden Stoffes in der Zubereitung, dem die Standardaufschrift R 37 zugeteilt wurde,
LXi,R37für jeden gasförmigen ätzenden Stoff mit dem R-Satz R 35 oder R 34 oder für jeden gasförmigen reizenden Stoff mit dem R-Satz R 37 festgelegte Konzentrationsgrenzwert für die Einstufung als reizend mit R 37 in Gewichts- oder Volumenprozent; - Als „sensibilisierend“ sind einzustufen:
i)
Als „sensibilisierend“ durch Einatmen einzustufen und mit dem Gefahrensymbol „Xn“, der Gefahrenbezeichnung „gesundheitsschädlich“ und mit dem R-Satz R 42 zu kennzeichnen sind:
Zubereitungen, die zumindest einen Stoff mit einer derartigen Wirkung, dem die Standardaufschrift R 42 „Sensibilisierung durch Einatmen möglich“ zugeteilt wurde, in einer Einzelkonzentration enthalten, die mindestens so hoch ist wiedie im Anhang I der Richtlinie 67/548/EWG festgelegte Einzelkonzentration in bezug auf den (die) betreffenden Stoff(e) oder
die unter Nummer 5 des Anhangs B Teil 3 (Tabelle V oder V A) festgelegte Einzelkonzentration, wenn der (die) betreffende(n) Stoff(e) im Anhang I der Richtlinie 67/548/EWG nicht oder ohne Konzentrationsgrenzen angeführt ist (sind);
ii)
Als „sensibilisierend“ durch Hautkontakt einzustufen und mit dem Gefahrensymbol „Xi“, der Gefahrenbezeichnung „reizend“ und mit dem R-Satz R 43 zu kennzeichnen sind:
Zubereitungen, die zumindest einen Stoff mit einer derartigen Wirkung, dem die Standardaufschrift R 43 „Sensibilisierung durch Hautkontakt möglich“ zugeteilt wurde, in einer Einzelkonzentration enthalten, die mindestens so hoch ist wie:die im Anhang I der Richtlinie 67/548/EWG festgelegte Einzelkonzentration in bezug auf den betreffenden Stoff oder
die unter Nummer 5 des Anhangs B Teil 3 (Tabelle V oder V A) festgelegte Einzelkonzentration, wenn der (die) betreffende(n) Stoff(e) im Anhang I der Richtlinie 67/548/EWG nicht oder ohne Konzentrationsgrenzen angeführt ist (sind).
Zubereitungen sind als „krebserzeugend“ einzustufen und mit dem Gefahrensymbol „T“ und der Gefahrenbezeichnung „giftig“ zu kennzeichnen, wenn sie zumindest einen Stoff mit derartigen Wirkungen, dem die Standardaufschrift R 45 oder R 49 zugeteilt wurde, die auf krebserzeugende Stoffe der Kategorien 1 und 2 hinweist, in einer Konzentration enthalten, die mindestens so hoch ist wie
die im Anhang I der Richtlinie 67/548/EWG festgelegte Konzentration in bezug auf den betreffenden Stoff oder
die unter Nummer 6 des Anhangs B Teil 3 (Tabelle VI oder VI A) festgelegte Einzelkonzentration, wenn der (die) betreffende(n) Stoff(e) im Anhang I der Richtlinie 67/548/EWG nicht oder ohne Konzentrationsgrenzen angeführt ist (sind);
Zubereitungen sind wegen möglicher krebserzeugender Wirkungen als beim Menschen zu Besorgnis Anlaß gebend einzustufen und mit dem Gefahrensymbol „Xn“ und der Gefahrenbezeichnung „gesundheitsschädlich“ zu kennzeichnen, wenn sie zumindest einen Stoff mit derartigen Wirkungen, dem die Standardaufschrift R 40 zugeteilt wurde, die auf krebserzeugende Stoffe der Kategorie 3 hinweist, in einer Konzentration enthalten, die mindestens so hoch ist wie
die im Anhang I der Richtlinie 67/548/EWG festgelegte Konzentration in bezug auf den betreffenden Stoff oder
die unter Nummer 6 des Anhangs B Teil 3 (Tabelle VI oder VI A) festgelegte Konzentration, wenn der (die) betreffende(n) Stoff(e) im Anhang I der Richtlinie 67/548/EWG nicht oder ohne Konzentrationsgrenzen angeführt ist (sind);
Zubereitungen sind als „erbgutverändernd“ einzustufen und mit dem Gefahrensymbol „T“ und der Gefahrenbezeichnung „giftig“ zu kennzeichnen, wenn sie zumindest einen Stoff mit derartigen Wirkungen, dem die Standardaufschrift R 46 zugeteilt wurde, die auf erbgutverändernde Stoffe der Kategorie 1 hinweist, in einer Konzentration enthalten, die mindestens so hoch ist wie
die im Anhang I der Richtlinie 67/548/EWG festgelegte Konzentration in bezug auf den betreffenden Stoff oder
die unter Nummer 6 des Anhangs B Teil 3 (Tabelle VI oder VI A) festgelegte Konzentration, wenn der (die) betreffende(n) Stoff(e) im Anhang I der Richtlinie 67/548/EWG nicht oder ohne Konzentrationsgrenzen angeführt ist (sind).
Zubereitungen sind als „erbgutverändernd“ einzustufen und mit dem Gefahrensymbol „T“ und der Gefahrenbezeichnung „giftig“ zu kennzeichnen, wenn sie zumindest einen Stoff mit derartigen Wirkungen, dem die Standardaufschrift R 46 zugeteilt wurde, die auf erbgutverändernde Stoffe der Kategorie 2 hinweist, in einer Konzentration enthalten, die mindestens so hoch ist wie
die im Anhang I der Richtlinie 67/548/EWG festgelegte Konzentration in bezug auf den betreffenden Stoff oder
die unter Nummer 6 des Anhangs B Teil 3 (Tabelle VI oder VI A) festgelegte Konzentration, wenn der (die) betreffende(n) Stoff(e) im Anhang I der Richtlinie 67/548/EWG nicht oder ohne Konzentrationsgrenzen angeführt ist (sind);
Zubereitungen sind wegen möglicherweise erbgutverändernder Wirkungen als beim Menschen zu Besorgnis Anlaß gebend einzustufen und mit dem Gefahrensymbol „Xn“ und der Gefahrenbezeichnung „gesundheitsschädlich“ zu kennzeichnen, wenn sie zumindest einen Stoff mit derartigen Wirkungen, dem die Standardaufschrift R 68 zugeteilt wurde, die auf erbgutverändernde Stoffe der Kategorie 3 hinweist, in einer Konzentration enthalten, die mindestens so hoch ist wie
die im Anhang I der Richtlinie 67/548/EWG festgelegte Konzentration in bezug auf den betreffenden Stoff oder
die unter Nummer 6 des Anhangs B Teil 3 (Tabelle VI oder VI A) festgelegte Konzentration, wenn der (die) betreffende(n) Stoff(e) im Anhang I der Richtlinie 67/548/EWG nicht oder ohne Konzentrationsgrenzen angeführt ist (sind);
Zubereitungen sind als „fortpflanzungsgefährdend“ einzustufen und mit dem Gefahrensymbol „T“ und der Gefahrenbezeichnung „giftig“ zu kennzeichnen, wenn sie zumindest einen Stoff mit derartigen Wirkungen, dem die Standardaufschrift R 60 (Fruchtbarkeit) zugeteilt wurde, die auf fortpflanzungsgefährdende Stoffe der Kategorie 1 und 2 hinweist, in einer Konzentration enthalten, die mindestens so hoch ist wie
die im Anhang I der Richtlinie 67/548/EWG für den betreffenden Stoff festgelegte Konzentration oder
die unter Nummer 6 des Anhangs B Teil 3 (Tabelle VI oder VI A) festgelegte Konzentration, wenn der (die) betreffende(n) Stoff(e) im Anhang I der Richtlinie 67/548/EWG nicht oder ohne Konzentrationsgrenzen angeführt ist (sind);
Zubereitungen sind als fortpflanzungsgefährdend einzustufen und mit dem Gefahrensymbol „Xn“ und der Gefahrenbezeichnung „gesundheitsschädlich“ zu kennzeichnen, wenn sie zumindest einen Stoff mit derartigen Wirkungen, dem die Standardaufschrift R 62 (Fruchtbarkeit) zugeteilt wurde, die auf fortpflanzungsgefährdende Stoffe der Kategorie 3 hinweist, in einer Konzentration enthalten, die mindestens so hoch ist wie
die im Anhang I der Richtlinie 67/548/EWG für den betreffenden Stoff festgelegte Konzentration oder
die unter Nummer 1 des Anhangs B Teil 3 (Tabelle VI oder VI A) festgelegte Konzentration, wenn der (die) betreffende(n) Stoff(e) im Anhang I der Richtlinie 67/548/EWG nicht oder ohne Konzentrationsgrenzen angeführt ist (sind).
Zubereitungen sind als „fortpflanzungsgefährdend“ einzustufen und mit dem Gefahrensymbol „T“ und der Gefahrenbezeichnung „giftig“ zu kennzeichnen, wenn sie zumindest einen Stoff mit derartigen Wirkungen, dem die Standardaufschrift R 61 (Entwicklung) zugeteilt wurde, die auf fortpflanzungsgefährdende Stoffe der Kategorie 1 und 2 hinweist, in einer Konzentration enthalten, die mindestens so hoch ist wie
die im Anhang I der Richtlinie 67/548/EWG für den betreffenden Stoff festgelegte Konzentration oder
die unter Nummer 6 des Anhangs B Teil 3 (Tabelle VI oder VI A) festgelegte Konzentration, wenn der (die) betreffende(n) Stoff(e) im Anhang I der Richtlinie 67/548/EWG nicht oder ohne Konzentrationsgrenzen angeführt ist (sind);
Zubereitungen sind als fortpflanzungsgefährdend einzustufen und mit dem Gefahrensymbol „Xn“ und der Gefahrenbezeichnung „gesundheitsschädlich“ zu kennzeichnen, wenn sie zumindest einen Stoff mit derartigen Wirkungen, dem die Standardaufschrift R 63 (Entwicklung) zugeteilt wurde, die auf fortpflanzungsgefährdende Stoffe der Kategorie 3 hinweist, in einer Konzentration enthalten, die mindestens so hoch ist wie
die im Anhang I der Richtlinie 67/548/EWG für den betreffenden Stoff festgelegte Konzentration oder
die unter Nummer 1 des Anhangs B Teil 3 (Tabelle VI oder VI A) festgelegte Konzentration, wenn der (die) betreffende(n) Stoff(e) im Anhang I der Richtlinie 67/548/EWG nicht oder ohne Konzentrationsgrenzen angeführt ist (sind).“